Arthur John Birch 1915–1995

Arthur John Birch AC CMG FRS FAA was one of the great organic chemists of the twentieth century. He held chairs at the Universities of Sydney and Manchester and at the Australian National University in Canberra, and was President of the Australian Academy of Science from 1982 to 1986. His outstanding research contributions include the Birch reduction of aromatic compounds by sodium and ethanol in liquid ammonia, his polyketide theory of the biosynthesis of natural products, and his studies of synthetic applications of diene iron tricarbonyl complexes.
Image Description

Written by Rodney W. Rickards and Sir John Cornforth.

Arthur John Birch 1915–1995

Introduction

Arthur John Birch AC CMG FRS FAA was one of the great organic chemists of the twentieth century. He held chairs at the Universities of Sydney and Manchester and at the Australian National University in Canberra, and was President of the Australian Academy of Science from 1982 to 1986. His outstanding research contributions include the Birch reduction of aromatic compounds by sodium and ethanol in liquid ammonia, his polyketide theory of the biosynthesis of natural products, and his studies of synthetic applications of diene iron tricarbonyl complexes.

Arthur John Birch AC CMG FRS FAA was one of the great masters of organic chemistry of the twentieth century. His extra ordinary creativity left its imprint across the breadth of the subject in its broadest sense, from synthesis to biochemistry to organometallic chemistry. He remains best known for the reaction that bears his name, the Birch reduction of aromatic compounds by solutions of sodium and ethanol in liquid ammonia. This process has wide application, most notably in the commercial synthesis of oral contraceptives, giving rise to his being called ‘the father of the pill’, although he himself preferred the more remote ‘grandfather’ relationship. His polyketide theory, which accounts for the biosynthetic origins of a wide range of natural products, is less widely acknowledged today simply because it has become absorbed into the accepted knowledge base of the subject. His final researches on the use of diene iron tricarbonyl derivatives in synthesis are equally distinguished and have prompted others to extend their application. During his career he was involved in the design of three new university chemistry buildings, one of which now bears his name, and contributed influential advice to governments on national science policies.

The authors of this memoir knew Arthur Birch from complementary perspectives. Rod Rickards was as an undergraduate at the University of Sydney when he first met him in 1954, on a crowded evening tram going home down George Street. Banter with a fellow student suggested that the unknown Professor of Organic Chemistry was quite a lad, who worked on things like sex hormones. A quiet voice alongside them said, ‘You want to be careful what you say on these trams, you never know whom you are sitting next to. ’ It was immediately apparent who sat alongside them. The Professor was undoubtedly more amused than the petrified students and, at a post-retirement symposium in his honour in Canberra in 1981, Birch recounted the incident with glee. In between these events Rod attended Birch’s undergraduate lectures, became one of his research students initially in Sydney and then in Manchester, and one of his staff in Manchester and Canberra. Finally he had the sad honour of speaking at his funeral.

John Cornforth was a year behind Birch at the University of Sydney and followed him to Robinson’s laboratory at Oxford. He married Rita Harradence, Birch’s contemporary at Sydney, who also went to Oxford one year after Birch. The three were lifelong friends.

Early Years

Arthur Birch was born in Sydney on 3 August 1915, the only child of Arthur Spencer Birch and Lily Bailey. His father was born in Northamptonshire, England, left school at the age of 12 years and home at 14, and then lived in Canada, Fiji and New Zealand, where he met Lily. Lily was born in central Tasmania but had emigrated to New Zealand at 27 years of age, and was 37 when they married. Arthur was born a year later, after the couple moved to Sydney. His father became a pastry chef at a major Sydney hotel, and later was manager of Woolworth’s cafeterias. Arthur ‘sauntered carelessly through primary school’ in the suburb of Woollahra but became interested in science. His father encouraged this with some apparatus and books bought with a legacy from an aunt, and Arthur ‘taught himself organic chemistry’ from about the age of 12 years. With his father now ailing, he was selected to go to the renowned Sydney Technical High School, where he did well academically while pursuing his own initiatives.

Chemistry initially fascinated him aesthetically rather than intellectually, although in later years he was clearly moved by the intellectual ‘highs’ that came from being the first to see and understand fundamental truths of chemical and biological behaviour. The beautiful natural product chemistry of the Australian bush intrigued him, with its range of odours from eucalypt trees, brilliant flower colours, and strange coloured resins exuding from the trunks of eucalypts and grass trees. He was to return to all these themes in due course as a scientist.

Career Path

Sydney 1933–1938

The University of Sydney, the oldest in Australia, was then the only university in the state of New South Wales, with about 3000 students. Its first Professor of Organic Chemistry was Robert (later Sir Robert) Robinson from 1913 to 1915. In his final school examination in 1932 Arthur Birch was ranked third in Chemistry in the state, winning a Public Exhibition exempting him from university fees. His rivals included Rita Harradence, later to become Lady Cornforth, who topped the state. These were the years of the Depression. His father was declining and died in 1937, so his family could offer him little more than accommodation. To pursue his desire to learn he washed bricks, coached other students, and won the only scholarship available at the end of his first year. The Sydney Chemistry Department in the 1930s lacked resources and ready access to the international chemical world, but its undergraduates were rich in talent and made their own fortunes. Birch’s competition with Rita Harradence continued and, on graduation at the end of their honours year in 1936, they were to share the University Medal in Chemistry. Ern Ritchie (later professor at the University of Sydney) was in the same year, Allan Maccoll (professor at University College London) was a year ahead, and a year behind were John Cornforth (Nobel Laureate) and Ron (later Sir Ronald) Nyholm (also professor at University College London).

Birch’s formal entry into research began in his fourth year, the honours year in the Sydney system. His Honours and MSc supervisor, Professor J. C. Earl, gave him a bottle of Eucalyptus dives leaf oil, a by-product of piperitone production, and then went on sabbatical leave. The result was five publications, four with Birch as sole author, on monoterpene natural products. The schoolboy’s interests were bearing fruit. In 1938, he was awarded a scholarship of the Royal Commission for the Exhibition of 1851 to study for a doctorate degree in England. No PhD degrees were awarded in Australia then, and there were few opportunities for those with such degrees, so he chose to work with Robert Robinson in Oxford and sailed from Sydney as World War II developed in Europe.

Oxford 1938–1948

Birch’s ten years at Oxford, 1938–1948, were not normal years for anyone alive at that time. A letter from him, written shortly after he started work at the Dyson Perrins Laboratory (DP), expressed pleasure at the ready availability of chemicals and disgust at the quality of the apparatus and equipment. Robinson had given him a problem of synthesis based on a speculation, later found to be baseless, that the peculiar lipids of mycobacteria contained fatty acids doubly branched at the positions next to the carboxyl group. Methods for the preparation, separation and handling of such compounds were largely undeveloped at the time. Birch did a creditable job with the preparation and gained his DPhil from the work in 1940. He never worked with fatty acids again. His predoctoral years were darkened by the approach and outbreak of the war in Europe.

Oxford was never bombed, and workers in the DP shared the life of most civilians in Britain: the blacked-out nights, the multifarious shortages and the resulting queues (even for films), the nutritionally adequate but uninteresting food (someone mistranslated the motto Alchymista spem alit aeternam above the DP entrance as ‘Eternal Spam nourishes the chemist’) and, for the first two years and more, the increasingly ominous news. In practice, people adapted: finding, for example, the Zionist restaurant that could make boiled red cabbage palatable by cooking it with vinegar and a little spice, or the pub that sporadically dispensed draught cider. Birch joined the Home Guard (‘Dad’s Army’); his autobiography (460) comments on it with characteristic wry humour.

Robinson was soon involved with numerous committees directing the contribution of science to the country’s war effort. He could not devote much time to his students and he had no deputy. This meant that students were unusually free to follow their own ideas: this was excellent for those who could think for themselves and learn from their work and from interaction with able peers, but less so for those who expected to be taught.

A certain amount of support was available for post-doctoral workers and after his DPhil Birch became, mysteriously, an ICI employee to whom a government grant was funnelled. His brief was to synthesize analogues of steroid hormones. His autobiography (460) gives a fascinating account of the complications caused by his success (ICI was bound by cartel agreements, and Robinson was bound by a promise to send all samples for testing to Sir Charles Dodds). That work, by that recalcitrant junior, laid the foundation for what is today an immense industry.

In 1941, Cornforth assembled some indications from the literature and showed that 2-methoxynaphthalene could be reduced by sodium in boiling ethanol to an enol ether readily hydrolysed by acids to 2-tetralone. A paper recording this procedure and some developments was published (with Rita Cornforth and Robinson) (Cornforth et al. 1942). Birch saw how much more useful this discovery could be if it could be applied to benzenes, which are less easily reducible than naphthalenes. He searched the literature and found an initially fortuitous discovery by C. B. Wooster in 1937 (Wooster and Godfrey 1937, Wooster 1939) that benzene, toluene and methoxybenzene could be reduced to dihydro derivatives by sodium and ethanol in liquid ammonia. Early in 1943, Birch tried this procedure with methoxybenzene. Physical techniques were primitive in those days, and chemistry was often needed to find out what was happening. He added a little of his reaction product to a solution of dinitrophenylhydrazine in hydrochloric acid. A slowly developing crystalline yellow precipitate dissolved when the mixture was heated and was redeposited as beautiful orange-red crystals. That test-tube experiment said it all: the addition of hydrogen was necessarily to the 2- and 5-positions of methoxybenzene. The enol ether group was hydrolysed by the acid to cyclohex-3-enone and thence by slower isomerisation to cyclohex-2enone, each of which formed its characteristic coloured derivative with the hydrazine. The Birch reduction was born (15). Birch spent much time, despite Robinson’s disapproval, exploring and developing the reaction.

The most direct application of the new method to the preparation of steroid hormone analogues was the conversion of oestradiol glyceryl ether into 19nortestosterone by way of an unconjugated isomer (41). Robinson provided only 0. 5 g of oestrone and refused a further supply when the first experiments showed practical difficulties. The situation was saved by Gilbert Stork, who generously gave Birch 5 g of oestrone. 19Nortestosterone proved to be a potent anabolic androgen, and the unconjugated isomer was an oestrogen. Part of the enormous importance of these artificial hormone mimics is that variations in structure can lead to specific biological effects, whereas with natural hormones effects are sometimes multiple and influenced by transformations in vivo.

Although the Birch reduction was certainly his principal achievement at Oxford, Birch made several contributions to some of Robinson’s schemes for steroid synthesis, including a widely applicable method for introduction of angular methyl groups.

Almost the last event of Birch’s Oxford days was his marriage to Jessie Williams, an event seen by all his friends as the best thing that could have happened to him.

Cambridge 1949–1952

In January 1949, Birch moved to Cambridge University as Smithson Fellow of the Royal Society. This appointment carried prestige, reasonable remuneration, and an independence that unfortunately precluded him from receiving university research support other than through the generosity of Sir Alexander (later Lord) Todd, who was a good friend to Birch on several occasions and whose opinion Birch respected greatly, especially on administrative matters. Todd allocated him Herchel Smith as a PhD student, a fortunate event that would later have major ramifications. In contrast to Oxford, the Cambridge laboratory facilities were excellent, and they made good progress with steroid synthesis directed towards androgenic and progestational hormones.

By Birch’s own admission, however, he was at that time becoming rather bored with synthesis, and the surrounding research projects of Todd and others reawakened his interest in natural products. Initially this found expression in deducing the correct structures of published natural products, and in collaborating with others to define the structures of new compounds. Much more significant for the subsequent development of organic chemistry, however, was his increasing interest in biosynthesis, the detailed process whereby natural products are formed by enzymes in living systems. This would become Birch’s second major contribution to science.

Alone after her husband’s death, Birch’s mother Lily had followed him to Oxford in 1939. During the progressive development of Parkinson’s disease, Birch had cared for her largely on his own, until the advent of Jessie Williams as her nurse in 1947. Lily Birch accompanied the newly married couple to Cambridge, and died there in 1951. In the same year, Birch was invited to accept the Chair of Organic Chemistry at his alma mater, The University of Sydney, and with his wife’s concurrence he decided to accept this challenge. After fourteen years absence he was homesick for Australia, and it would be a better place in which to bring up their three young children than post-war Britain.

Sydney 1952–1955

In 1952, Birch returned to Sydney to take up his first tenured academic appointment, as Professor of Organic Chemistry and Head of Department in a chemistry school of nearly 1000 students, with little teaching and less administrative experience. The chair had been vacant for several years, even its continued existence the subject of university controversy. The Depression and war years had passed, but the Department still lacked resources and international contacts. The laboratories in sandstone buildings around the Vice-Chancellor’s quadrangle (‘the vice quad’) were ancient and poorly equipped. Spectroscopy was limited to a manually driven ultraviolet spectrometer, and the small bottle of the novel solvent tetrahydrofuran could be used only if 90% could be recovered. The state government provided finance for a new building by mistake, confusing chemistry with pharmacy, but honoured its public commitment. This was the first of three such building designs with which Birch was to be involved, although the building itself was not erected until after his departure from Sydney in 1955.

The research projects chosen had to make the most of these facilities, in the hands of research students who mostly did only honours or masters degrees. Those who wanted to pursue a doctorate still usually went to England, although it was now possible in Sydney. Birch’s classic publication on the biosynthesis of phenolic natural products, ‘Studies in relation to biosynthesis. Part 1’, embodying ideas developed largely in Cambridge, was published by the Australian Journal of Chemistry in 1953 (56), having been rejected by the Journal of the Chemical Society on the grounds that it lacked experimental support. Proof of the hypothesis required the radiolabelled compounds that were now becoming available as a result of developments in isotope technology during the war. With financial assistance from the Nuffield and Rockefeller Foundations to buy 14C labelled acetate and to train students in its use, the first experimental support for the acetate hypothesis was presented in 1955. These students were shortly to follow their supervisor to England.

Birch also accomplished some structural work on natural products and some synthetic chemistry in Sydney, but the research environment was too restrictive. In 1954, he was elected a Fellow of the newly formed Australian Academy of Science. In 1955, he declined an offer of a foundation chemistry chair in the Research School of Physical Sciences at the new Australian National University (ANU) in Canberra. It would be twelve years before he joined the ANU, taking instead the renowned organic chemistry chair at the University of Manchester vacated by Professor E. R. H. (later Sir Ewart) Jones on his way to Oxford. His dissatisfaction on leaving Sydney in late 1955 prompted newspaper headlines like ‘Beggars in mortar boards. Why the professor resigned. ’ The departure for England of Birch and other senior chemists was a factor leading to the subsequent reorganisation of Australian universities under Common wealth rather than State auspices and funding. Birch later dryly suggested, ‘I probably made my best contribution to the Australian university system by then publicly quitting it’.

Manchester 1956–1967

Manchester was different. The Australian students who joined Birch in the industrial, commercial and cultural centre of northern England were used to the brilliant clear light and the sand and surf of their own country. They now frequently found themselves in thick, damp smog, at times barely able to see street lights glinting through the gloom at midday. They drank warm beer with the locals, learned to understand the North Country accent, watched Manchester United play football, and cheered the Australian cricketers at Old Trafford. Birch, too, liked the people, and the city because ‘it was easier to get out of than, say, London’. But the ‘red brick’ university dating back to 1851 was also different from Sydney, and its faculty lists, which included Nobel Laureates, reflected the illustrious scientific tradition that Birch felt honoured to join.

Birch’s research flourished. In Cam bridge, he had realised that micro organisms rather than higher plants were the preferred vehicles for experimental biochemistry. They were prolific producers of the phenolic compounds in which he was interested, and could be grown readily in the laboratory. The Manchester Chemistry Department already had such a facility, established by Birch’s predecessor E. R. H. Jones. He now appointed Herchel Smith, his PhD student from Cambridge, to the lecturing staff, and they collaborated on biosynthetic research. Herchel learned and introduced radiotracer techniques, which greatly accelerated the biosynthetic studies. Direct quantitative 14C assay of compounds was performed on open planchettes under an end-window Geiger counter, avoiding the previous cumbersome combustions to carbon dioxide gas and thus leaving the compounds available for further purification or degradative chemistry. The low counting efficiency was offset by the competence and convenience of the producing microorganisms.

Herchel Smith and Birch also resumed their Cambridge collaboration on sex-hormone synthesis, until Herchel wanted independence in this area and Birch withdrew. Herchel was highly successful, ultimately achieving an effective total synthesis of norgestrel and its analogues, which were to become widely used constituents of modern oral contraceptives. The basic chemistry was carried out in Manchester, but no patents were then filed. In 1961, Herchel moved to Wyeth Pharmaceutical Industries in Pennsylvania as Research Director, taking with him two Mancunian PhD students who happened to be in the right place at the right time. Subsequent royalties enabled Herchel Smith to retire in 1973; at his death in 2001 his estate value was estimated in excess of £100 million. He generously bequeathed some £90 million to be shared between his alma mater Cambridge University and Harvard University, supplementing the £15 million given to Cambridge during his lifetime. Birch’s work on the reduction of aromatic rings was crucial to this success, a fact that gave him intellectual satisfaction.

During this period, Birch utilized intermediates prepared by his metal–ammonia reduction chemistry in several areas apart from the steroid work. On the one hand, they were elaborated by various means to natural products; on the other, they were reacted with metal carbonyls to provide the organometallic species that were to interest Birch until his retirement.

The old Manchester laboratories had been periodically extended since their opening in 1872, when they were considered the best in the country (Burkhardt 1954), and now had character and history but were outdated and inflexible. They were reasonably equipped with ultraviolet and infrared spectrometry, and the physical chemists might allow their mass spectro meter to be used for organic work if the sample was volatile. But organic chemistry was changing rapidly, with increasing dependence upon sophisticated instrumentation. Fortunately, Associated Electrical Industries (AEI) was making the world’s best mass spectrometers only a few miles away, and their development engineers were happy to test the capabilities of instruments on their production line. In due course, a new chemistry building was designed and built, and in its turn became the best equipped in the UK. Organic mass spectrometry became routine with the acquisition of the classic AEI MS 9 spectro meter. Proton nuclear magnetic resonance (NMR) spectrometry was emerging from the realm of physics to revolutionize organic chemistry, so the government commissioned AEI to design and build NMR spectrometers to save England from having to import state-ofthe-art American Varian instruments. After much delay, the department acquired one, which detected passing buses better than precessing protons and was superseded in the new building by a Varian A60.

The advent of such instrumentation changed the face of natural product chemistry worldwide. Birch’s structural work in Sydney and initially in Manchester was primarily of the classical type, dependent upon microanalyses to indicate molecular formulae, reaction chemistry to establish functionality and to break structures apart, the occasional use of ultraviolet or infrared spectroscopy, and analytical reasoning. To this, he had added his own requirement of biosynthetic rationality, at times convincing in itself. Mass spectrometry now defined precise molecular formulae and suggested structural fragments, whereas 1H NMR spectroscopy looked directly at the intact molecule, mapping hydrogen atoms and their environments. Birch recognised the importance of these advances and ensured they were available, but he was not one to tie himself to technology. Instead, once his biosynthetic hypotheses were firmly established by experiment on known compounds, he reversed the logic and used radiotracer incorporations in vivo to assist the structure determination of unknown natural products. This innovative although somewhat cumbersome approach was valuable in difficult cases, but was soon surpassed by the increasing power of NMR analysis alone. Much later, with the availability of 13C-labelled compounds, the two techniques would successfully merge, until direct spectrometry again prevailed.

Birch was elected to Fellowship of the Royal Society in 1958 and became established as one of the world’s leading organic chemists. Scientific conferences, connections with industry (notably Syntex in Palo Alto and Mexico City, and Roche in Basle), periods in Nigeria to establish research, and even the occasional family holiday drew him away from the department, where research students jokingly appointed him to the BOAC Chair of Chemistry (after the national airline, the British Overseas Airways Corporation). A less sympathetic undergraduate referred to ‘the occasional smell of stale cigar smoke in a lift’. Although not inclined towards overall university administration, he nevertheless promoted departmental interests, setting up and chairing the first Department of Biological Chemistry in Manchester.

One conference Birch attended was the 1st International Union of Pure and Applied Chemistry (IUPAC) Symposium on Natural Products, held in Sydney, Canberra and Melbourne in 1960. In Canberra, the establishment of a Research School of Chemistry at the ANU was discussed, with Birch and Professors David Craig and Ronald (later Sir Ronald) Nyholm, now both at University College London, as the three Foundation Professors. Craig had been a professorial colleague with Birch in Sydney, whereas Nyholm had been at the New South Wales University of Technology. This unique but onerous opportunity was ultimately accepted only by Birch and Craig; Nyholm decided to stay in England. Imaginatively code-named ‘Project C’ by the ANU to prevent premature exposure (Foster and Varghese 1996), the basic building was designed in a flat in Half Moon Street, London, by Melbourne architects in close consultation with all three covert ‘Advisers’. The ANU supported PhD scholars and postdoctoral fellows in Manchester and London from 1965, who transferred with the professors to Canberra in 1967.

Canberra 1967–1980, and Retirement

Canberra was different, too. The remarkable ANU was and still is unique, not only in Australia. Conceived to provide research and postgraduate training to rebuild the nation following World War II, it inherited undergraduate faculties from the Canberra University College in 1960. Prominent expatriates were recruited to lead the generously funded research schools in its Institute of Advanced Studies, and Chemistry was the fifth to be established. ‘Project C’ emerged from a hockey field as a structurally elegant and technically efficient building, with the internal flexibility needed for a rapidly advancing science and laboratories designed for sophisticated instrumentation. For the organic chemists, there was then a mass spectrometer and a 100 MHz 1H NMR spectrometer; by 2004 the School would run six mass spectrometers, and six NMR spectrometers operating from 200 to 800 MHz. The Research School of Chemistry was officially opened by Birch’s Cambridge mentor, by this time Lord Todd of Trumpington, in 1968.

Counter to ANU practice and causing opposition from those who believed ‘nothing should be done for the first time’, the ‘Advisers’ had prescribed a school comprising research groups without the traditional departmental divisions, overseen by a Dean rather than a Director, and sited adjacent to the existing Chemistry Department to promote interaction. Birch was the Dean Elect from 1965, and Foundation Dean from 1967–1970. He served again as Dean from 1973–1976, and retired as Foundation Professor of Organic Chemistry in 1980. The School’s prime purpose was to conduct fundamental research at the highest international level, some aspects of which had potential application to Australian industry and national interests. In so doing it would provide opportunities and training for young Australians, both at home and overseas. The School’s research record into the twenty-first century has vindicated the judgement of its founders. The main building of the Research School was named in honour of Arthur Birch at a ceremony, which, despite failing health, he attended with great satisfaction in August 1995.

Birch’s personal research in Canberra developed his Manchester themes further, but with increasing emphasis on the organometallic chemistry of tricarbonyliron complexes with organic ligands. Metal–ammonia reduction provided the cyclohexadiene ligands, the reactivity of which was substantially altered and stereospecifically controlled by the transition metal attached laterally in a reversible fashion. Efficient syntheses of highly functionalized natural products emerged, but the concepts and methods were general and lent themselves to exploitation. With his major biosynthetic hypotheses now confirmed and the results of isotope incorporation studies becoming routine, this area was gradually phased out. Natural product studies were initiated using the new automated counter-current distribution apparatus to resolve complex mixtures, such as the phenolic resins from Australian grass trees that he had observed as a youth, but also gave way to the new developments in organometallic research.

In 1980, Birch reached the then mandatory retirement age of 65. In February 1981, the Research School of Chemistry honoured his achievements and contributions with a major symposium, involving participants from across Australia and overseas. Professor Albert Eschenmoser of the Eidgenössische Technische Hoch schule, Zurich, gave the inaugural Birch Lecture, since then an annual event on the School’s calendar. At the symposium dinner, Birch was presented with the Leighton Memorial Medal of the Royal Australian Chemical Institute (RACI) (its most prestigious medal, awarded ‘in recognition of eminent services to chemistry in Australia in the broadest sense’) by the Governor-General of the Commonwealth of Australia, His Excellency the Right Honourable Sir Zelman Cowen, and delivered the Leighton Address on ‘Creative and Accountable Research’ (416). Shortly afterwards, he took up the inaugural Newton-Abraham Visiting Professorship at Oxford, returning to the ANU in 1982 as a University Fellow in the Department of Chemistry. In 1987, he was awarded the Tetrahedron Prize for Creativity in Organic Chemistry. In 1994, the RACI made him one of their few Honorary Fellows, and in 1996 the Organic Chemistry Division of the Institute named their premier award in his honour.

The establishment of the Research School at the ANU demanded more of Birch’s time in onerous school organization and broader university administration than at Manchester, particularly during the periods of his deanship. This drawback was partly offset by the absence of undergraduate teaching responsibilities, but far greater compensation came from observing the success of his endeavours. Demands upon his time from outside the university also increased, which, as a professional scientist, he felt a moral obligation to meet both before and after his retirement. He was appointed Treasurer of the Australian Academy of Science from 1969 to 1973, Vice-President then President of the RACI in 1977–1978, and was elected President of the Australian Academy of Science from 1982 to 1986. During his Presidency of the Academy, he was instrumental both in reorganising and in securing much needed headquarters for its administration. The offices now occupy an elegantly refurbished 1927 government hostel, which retains its distinctive original exterior and is listed on the Register of Significant Twentieth Century Archi tecture, adjacent to the ‘Dome’, a Canberra architectural landmark housing the conference hall of the Academy.

As an international scientist of standing, Birch’s advice was also extensively sought beyond academia by governments in Australia and overseas. One of his major undertakings was to chair the 1976–1977 Independent Inquiry into the CSIRO, the large and widespread Australian government research body (374). The inquiry reaffirmed the role of CSIRO as strategic, mission-oriented research in the national context. It proposed radical changes to its longstanding structure, however, including notably the grouping of the many operating units of the organization, the Divisions, into six Institutes under an Advisory Council and Executive. Most of the recommendations were accepted and implemented by the Government, not entirely to the joy of the scientists involved; subsequent changes built on these recommendations. He was appointed Foundation Chair of the Australian Marine Sciences and Technologies Advisory Committee from 1978 to 1981. In 1987, he was made a Companion of the Order of Australia (AC) for his contributions to science in Australia.

At the international level, he was an examiner for the Organization for Economic Cooperation and Development (OECD) on Science and Technology Policy in Denmark. For an extended period from 1979 to 1987, he was Consultant to the UNESCO United Nations Development Programme project ‘Strengthening Research and Teaching in Universities’ in the People’s Republic of China, and made six visits to that country advising on technical and laboratory management and instrument centres. International honours included appointments as Academician of the USSR Academy of Science in 1976 and Foreign Fellow of the Indian National Academy of Science in 1989.

Birch’s scientific autobiography, incisively entitled ‘To See the Obvious’, was written over the last ten years of his life for the American Chemical Society series ‘Profiles, Pathways and Dreams. Autobiographies of Eminent Chemists’ (460). With Arthur now seriously ill, the editor and publishers responded to an urgent request from Jessie Birch, and it was published just before his 80th birthday in August 1995.

Scientific Research

Birch’s scientific research is described in more than 400 publications, which range in subject matter from organic synthesis to biochemical processes and organometallic chemistry. In this memoir, we can do no more than attempt to outline the origins, essence and significance of his three major research themes: the Birch reduction, his polyketide theory of biosynthesis and his studies of the organic chemistry of transition metal complexes.

The Birch Reduction

Arthur John Birch 1915–1995

Figure 1.

Solution of the structures of many steroids during the 1930s led immediately to efforts to bring these biologically important compounds into the domain of synthetic organic chemistry, which at that time was heavily biased towards derivatives of benzene and other aromatics readily supplied by distillation of coal. Thus, sterols tended to be seen as ‘hydroaromatic’ compounds. It is no coincidence that the first steroid to be synthesised was the naphthalenoid equilenin (1) and that the second was oestrone (2) (Fig. 1). Alicyclic chemistry had been stimulated by work on the essential oils, but synthetic methods and control of stereoisomerism were still rudimentary. Methods for reduction were especially backward. Metallic sodium in association with alcohols was one of the more powerful reagents: it could, for example, reduce esters to alcohols and could add two hydrogen atoms to many naphthalenes, but it was largely ineffective for reducing solitary benzene rings. For that, hydrogenation over large amounts of platinum black or at high pressures and temperatures over nickel or copper–chromium catalysts was the most general method; however, it was stereo-chemically indiscriminate and it could alter or remove functional groups. Full appreciation of aromatics in steroid synthesis was also delayed by a curious failure to recognize that vinyl ethers are easily hydrolysed by mild acids to carbonyl compounds. Methoxyl groups on aromatic or saturated carbon atoms need vigorous methods for cleavage—the classical reagent is boiling hydriodic acid—and it seemed to be taken for granted that vinyl ethers would be similarly resistant.

Arthur John Birch 1915–1995

Figure 2.

Birch’s crucial experiment in 1943, already outlined in the section on his Oxford days, combined two recent discoveries: that solitary aromatic rings could add two hydrogen atoms when treated in liquid ammonia with a combination of sodium metal and an alcohol, and that vinyl ethers were excellent sources of carbonyl compounds. Thus, his methoxy benzene (3) gave, on reduction, the 2, 5-dihydro derivative (4), which was hydrolysed by mild acid to cyclohex-3-en1-one (5) and thence by acid-catalysed isomerization to cyclohex-2-en-1-one (6) (Fig. 2) (15). Several important steroid hormones are formally derivatives of cyclo hexenone; in addition, cyclohexenones are useful intermediates for further synthesis. In Birch’s hands, pheno-lic ethers became packaged cyclohexenones, stable to many manipulations of functional groups elsewhere in the molecule and unpacked by a procedure that left many of these groups untouched. In a series of mostly single-author papers published between 1944 and 1950, Birch laid the foundations of this uniquely useful and, as it turned out, timely method (43). Dialkylaminobenzenes were shown to be reduced in the same manner as alkoxybenzenes (a procedure that has perhaps received less attention than it deserves). Allylic and benzylic alcohols were deoxygenated. The technical difficulty—that many substrates were insoluble in liquid ammonia—was palliated by substituting 2hydroxyethyl or glyceryl ethers for the usual methyl ethers. Other workers, later, found that lithium was preferable to sodium in some special cases. Birch’s original assignment to synthesize analogues of steroid hormones was to succeed beyond measure—but largely in other hands.

Arthur John Birch 1915–1995

Figure 3.

Herchel Smith, his graduate student at Cambridge and his colleague at Manchester, devised along with others some commercially practical methods for synthesising oestrone (2, Fig. 1) and many analogues, and the last intermediate in these syntheses was almost always a methoxybenzene. When the Birch reduction was applied to these intermediates, hydrogen was added at the 1- and 4-positions (steroid numbering) and the products (7) by acid-catalysed hydrolysis and rearrangement gave enones (8) and (9) (Fig. 3). The structural element (9) occurs, of course, in many natural androgens and progestogens as well as in the adrenal hormones, but these also feature an angular methyl group between rings A and B, as in progesterone (10, Fig. 4).

Arthur John Birch 1915–1995

Figure 4.

The synthetic enones lacked this angular methyl group between rings (A) and (B). It was possible, although inefficient, to introduce it via halocarbene addition to suitably protected intermediates (8). However, the principle of the contraceptive pill (daily oral intake of a combination of progestogen and oestrogen) had meanwhile been discovered and, unpredictably, many synthetic compounds devoid of this angular methyl group were found to be equal or superior (for this purpose) to the natural hormones. The progestogen norgestrel (11, Fig. 4) made Herchel Smith a multimillionaire.

Arthur John Birch 1915–1995

Figure 5.

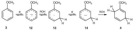
Although the Birch reduction is a practical method par excellence (320), Birch felt bound to understand its mechanism: why were the protons added where they were, and what was the role of the alcohol? His final paper on this subject was a collaboration with Leo Radom, who used ab initio calculations to substantiate a mechanism already adumbrated by the early experimental work (406). From methoxybenzene (3), acceptance of a solvated electron from the sodium–ammonia solution leads, reversibly, to a radical-anion (12) that in turn accepts, reversibly, a proton from the alcohol. The resulting neutral radical (13) accepts, reversibly, a second electron to form a stabilised anion (14). The final addition of a second proton to this anion is virtually irreversible in the usual conditions for Birch reduction and it leads to the terminal product 2, 5-dihydro1-methoxybenzene (4) (Fig. 5). This and similar products were not only sources of cyclohexenones, but, after complexation with metal carbonyls, were the basis for what Birch called lateral control of synthesis (see later).

Studies in Relation to Biosynthesis

Arthur John Birch 1915–1995

Figure 6.

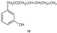
By the early 1950s, the fundamental role of amino acids in the biosynthesis of alkaloids and some aromatic compounds had been recognized, as had the role of acetic acid in fatty acid and steroid biosynthesis. In contrast, the origin of the increasing numbers of phenolic compounds isolated from various plant and microbial sources was not yet understood. It was such a compound from a New Guinean tree that provided Birch with the inspiration for his second major contribution to science, his polyketide theory of aromatic biosynthesis. The original authors had recognized that the carbonyl group in the side chain of campnospermonol (15, Fig. 6) defined a C18 ‘oleyl radical with…possible generic connection with the fatty oils’ (Jones and Smith 1928). Birch realized that if the presumed acetate-derivation of this segment was extended further, and coupled with decarboxylation and loss of oxygen, it could account for the origin of the phenolic ring and, in particular, the position of the phenolic hydroxyl meta to the side chain.

Arthur John Birch 1915–1995

Figure 7.

From this emerged his ‘acetate hypothesis’, published from Sydney in 1953, whereby ‘the head-to-tail linkage of acetate units (17) could lead to phenolic substances in several ways’ (56). Ring closure of polyketonic intermediates of the type (18) through aldol condensation or C-acylation could yield orcinol (19) or phloroglucinol (20) derivatives, respectively (Fig. 7). Super imposition of other biochemically acceptable reactions, such as decarboxylation, reduction, dehydration, oxidation and halogenation, on these basic processes would extend the range of possible products (for example 21–23). The chain-initiating acid RCO2H (16) could be acetic or other natural aliphatic acids, or aromatic acids such as hydroxycinnamic acids in the case of plant stilbenes and flavonoids. The carbon skeleton and residual oxygen functionality of the resulting metabolite defined the folded polyketonic intermediate. Birch later termed such metabolites ‘poly ketides’, in deference to the early ideas of J. N. Collie (Collie 1907).

Arthur John Birch 1915–1995

Figure 8.

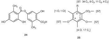
Initial support for the acetate hypothesis came from structural analysis of a range of phenolic metabolites. Lecanoric acid (24, Fig. 8) is the simplest of the lichen depsides, containing two orsellinic acid (19, Fig. 7; R = CH3) units in ester linkage. Partial structure 25 (Fig. 8) summarizes the structures of the acid units present in all the depsides then known (85). Particularly convincing was the presence of carboxyl at position 1, oxygen at positions 2 and 4, and an odd-numbered alkyl chain at position 6 of all these units, in full agreement with Birch’s hypothesis. In contrast, positions 3 and 5 carried occasional oxygen, chlorine and methyl substituents, arising by secondary modifications.

Arthur John Birch 1915–1995

Figure 9.

Biochemical proof of the hypothesis was provided by examination of the distribution of radioactive carbon (indicated by asterisks) in 6-methylsalicylic acid (26, Fig. 9) produced by growing the fungus Penicillium griseofulvum in the presence of [carboxyl-14C]-labelled acetic acid (85). Like campnospermonol (15, Fig. 6), this metabolite has also lost an oxygen from its polyketonic precursor by reduction and dehydration, but in contrast retains the carboxyl group. This was the Sydney forerunner of an extended series of radio-isotope studies of the biosynthetic origins of diverse fungal and bacterial metabolites, performed in Manchester and using detailed degradative chemistry to locate the radiolabels; the ease of pinpointing heavy isotopes with NMR spectrometry was not yet available.

The acetate theory was confirmed when griseofulvin (27, Fig. 9) in P. griseofulvum was shown to arise from a chain of seven acetate units (indicated by asterisks), modified by O-methylation, halogenation, phenolic oxidative coupling, and reduction stages (130). The occurrence of additional C-methyl substituents, as in the lichen depsides (25, Fig. 8) mentioned above, was shown to be an extension of the known biological O- and N-methylation by transfer from the S-methyl group of the amino acid methionine; the O- and C-methyl groups (indicated by filled squares) on the modified orsellinic acid nucleus of mycophenolic acid (28, Fig. 9) from P. brevi-compactum both arose in this way (133). The C7-chain of 28 confirmed another general process predicted by Birch, involving C-alkylation with a terpenoid moiety (which here suffered subsequent degradation at its terminus) (132).

Arthur John Birch 1915–1995

Figure 10.

The acetate theory with its associated concepts now correlates the structures of many  thousands of natural products. Subsequent work by others showed that whereas the polyketide chain biosynthesis is indeed initiated via acetyl coenzyme A or another acyl coenzyme A, the ‘acetate units’ (17, Fig. 7) extending the chain are incorporated not directly via acetyl coenzyme A as suggested by Birch, but rather via its carboxylation product, malonyl coenzyme A, with concomitant decarboxylation. This detail, although significant biochemically, in no way detracts from Birch’s theory. Fungi also provided the vehicle for studying some aspects of terpene biosynthesis, which was by then known to proceed from acetate through the inter - mediacy of mevalonic acid to isoprenoid chains, which could undergo concerted cyclisation and further modification. The important C19 plant hormone gibberellic acid (30) from Gibberella fujikuroi was proved to be a degraded diterpene, arising from a C20-precursor (29) by predictable and stereospecific biochemical processes (Fig. 10) (143).

Transition Metal Complexes in Synthesis

Arthur John Birch 1915–1995

Figure 11.

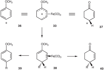
Birch’s development of the use of iron carbonyl complexes in synthesis arose from his ready access to unconjugated dihydrobenzenes, such as 2, 5-dihydro-1methoxybenzene (4), from the reductions discussed earlier. Reaction with iron penta carbonyl gave the conjugated isomers (31 and 32) of the iron tricarbonyl complex (Fig. 11). An attempt to separate these as crystallizable salts by the removal of hydride with triphenylmethyl tetrafluoro borate gave the stable salt (33) from the former complex, but the isomeric 1methoxy salt (34) from the latter complex was unexpectedly hydrolysed to the neutral dienone complex (35) (Fig. 11) (219). This last compound was of interest as a stabilised ketonic tautomer of phenol, but it was the stable salts of the type 33 that proved to be of greater value in synthesis.

Arthur John Birch 1915–1995

Figure 12.

An extensive series of iron tricarbonyl complexes of substituted cyclohexadienes was prepared, and their novel reactivity with a range of reagents studied (362). The presence of the attached but readily removable transition metal resulted in ‘superimposed lateral control of reactivity, stereochemistry and structure’ of the organic ligand (409). For example, the salt (33) could behave as the synthetic equivalent either of an aryl cation (36) or of a cyclohex-2-enone cation (37), depending upon the reaction sequence chosen (Fig. 12). Thus, reaction with a nucleophile (R) afforded the neutral com plex (38). Subsequent iron tricarbonyl removal coupled with dehydrogenation then gave the p-substituted anisole (39), whereas coupling with acid hydrolysis gave the 4-substituted cyclohex-2-enone (40) (Fig. 12).

Arthur John Birch 1915–1995

Figure 13.

The iron carbonyl group blocks one face of the ring system (33, Fig. 12), and controls the reaction stereochemistry by forcing the nucleophile to attack specifically from the other face (electrophiles attack from the same face), affording the relative stereochemistry (38, Fig. 12) shown. This is not always significant, but the salt (33) and the neutral complex (38) are both chiral, and potentially resolvable into their mirror image pairs, the enantiomers (41 and 42) and (43 and 44), respectively (Fig. 13). The products from such stereochemically pure materials, if they themselves are chiral as is the ketone (40, Fig. 12), will be stereochemically pure.

Arthur John Birch 1915–1995

Figure 14.

The potential of the chemistry is illustrated in one of his last publications, a synthesis of the important biochemical path way intermediate shikimic acid (Fig. 14) (441). The starting dihydro benzene in this case is methyl 1, 4dihydro benzoate (45), prepared from benzoic acid by Birch reduction and methylation. Complexation with iron tricarbonyl gave a mixture of dienesized by acid into the single isomer (46). This complex could be separated into its mirror image components (47 and 48) by hydrolysis to the acid, salt formation with (+)- or (-)-phenylethylamine, and re-esterification (427). Hydride removal from the enantiomer (47) with triphenylmethyl tetrafluoroborate now yielded the cation (49), which gave the neutral alcohol complex (50) on stereospecific reaction with hydroxide ion. Protection of the hydroxyl group as its tert-butyldimethylsilyl ether and removal of the iron by oxidation with trimethylamine N-oxide provided the free diene (51). Cis-diol formation with osmium tetraoxide and removal of the protecting silyl group with fluoride ion gave stereochemically pure (-)-methyl shikimate (52). Alternative chemistry, again laterally controlled by the iron tricarbonyl group, enabled conversion of the mirror image complex (48) to the same product (52).

Birch explored many facets of this chemistry over some twenty years, even beyond his retirement. The powerful methodology has not been used to the extent that he expected, however, probably for several reasons. The range of substituted cyclohexadienes readily available from Birch reductions has limitations, and metal complexation frequently yields a mixture of the conjugated diene complexes, only one of which is required. Furthermore, the transition metal has to be employed stoichiometrically and, although iron pentacarbonyl is relatively cheap, applications of organometallic chemistry in organic synthesis were turning increasingly towards catalytic processes.

Arthur Birch the Person

This memoir has sought to outline Birch’s life and career, and his major contributions to chemistry and science at large. His achievements stand on their own merits.

His extraordinary talent and his love for his chosen science are obvious, as are his preparedness to accept challenges and his commitment and determination to succeed. Readers will have inferred his ability to lead, glimpsed his dry humour, and seen his concern for the wellbeing of his family. His scientific persona emerges clearly in his scientific autobiography (460). His Oxford mentor, Sir Robert Robinson, regarded Birch as the student who most resembled him, a compliment accepted by Birch with mixed feelings. Comments by renowned chemists of his era are definitive (460). Sir Derek Barton regarded him as ‘ten years ahead of his time in three areas: reduction chemistry, biosynthesis, and organometallics’. Few chemists achieve this in a single area, let alone in three, and with the pace and maturity of chemistry in the twenty-first century it may no longer even be possible. Birch achieved it with relatively few collaborators and limited resources, even by the standards of the time. Carl Djerassi described him as ‘a maverick, a lone wolf’.

For the present memoir, Djerassi commented further: ‘My enormous regard for Arthur Birch as the quintessence of an original chemical mind can be most succinctly shown by two facts. In the early 1950s, I persuaded Syntex—at that time a small pharmaceutical research company in Mexico City—to hire Arthur as one of its chemical consultants. This was the beginning of Arthur’s longest professional relation with a pharmaceutical company. Much more significant is my personal conviction that I was the first chemist to publish the word ‘Birch Reduction’ in the literature. But while naming an important chemical reaction after its discoverer is a standard form of homage among chemists, I converted mine into the ultimate compliment: transforming it also into a verb. At Syntex in Mexico City in the mid 1950s, it was standard phraseology ‘to birch an aromatic methyl ether. ’ Que viva Don Arturo Birch!’

Birch’s close academic colleague David Craig recalled their interaction over many years in these terms. ‘Although Arthur and I came from the same undergraduate stable in the University of Sydney he was older and we did not meet at that time. We came to know each other well when in 1951 we were appointed to chairs in Sydney, he in Organic Chemistry at 36 and I in Physical Chemistry at 31. The Head of School was Raymond Le Fèvre. I doubt that Le Fèvre felt comfortable with these two brash youngsters. He was probably relieved when in 1955–56 we went back to the UK, Arthur to Manchester and I to London. ’

‘Starting in 1963 and with the strong support of our colleagues and the University, Arthur and I shared the task of establishing the Research School of Chemistry within the ANU. It was a great moment when the School opened its doors in 1967 with Arthur as the first Dean. We were confident that chemistry in Australia had moved forward. The School prospered. We had the same ideas—a firm commitment to a non-departmental structure and a determination that research should have priority over management and administration. In the alternation of the Deanship between Arthur and me we had an unspoken agreement never to interfere or to look back over what the other had done. ’

‘Arthur stood out, a man of purpose, academic values, good judgment and principles. I was fortunate to have been able to work closely with him over a long period. ’

His advice to governments was rational and influential. Malcolm Fraser, Prime Minister of Australia from 1975 to 1983 and Minister for Education and Science at the official opening of the ANU Research School of Chemistry in 1968, wrote: ‘I remember Professor Arthur Birch well. His contribution to the highest scientific research in Australia and overseas won a most distinguished, world-wide reputation. He played a significant, indeed indispensable role in establishing the Research School of Chemistry at the ANU. As a university established to foster fundamental research and post-graduate training in Australia, Professor Birch’s contribution was outstanding. Its research schools were regarded of real significance to building this country. ’

‘The government then believed in the integrity of academic freedom and the need for fundamental research if science was to advance in Australia and if scientists of the highest international standing were to be attracted to Australia. Professor Birch became a valued advisor to government. He chaired the 1976–77 Independent Inquiry into the Common wealth Scientific and Industrial Research Organisation and laid the foundations for that organisation’s continued relevance and importance. Its task was to accomplish strategic mission-orientated research. His service to Australia continued as Foundation Chair of the Australian Marine Sciences and Technologies Advisory Committee in 1978. ’

‘When asked by government, he felt an obligation to provide service beyond the particular confines of his own discipline. As a consequence he made a most distinguished and broad-ranging contribution to the advancement of science in Australia. ’

Those who worked for Birch were also fortunate. Research students at their bench soon learnt to recognize the smell of cigar smoke nearby, and to expect the ensuing laconic ‘Anything new?’ Of necessity they also learnt to select from the many ideas he would suggest to them, and to design and perform the experiments themselves. The sole exceptions were his signature reductions in which he liked to participate, preferably using a conical flask stoppered with cotton wool, frosted at the base by the evaporating liquid ammonia, and swirled by hand as he added pieces of sodium and watched them dissolve in transient blue patches. With longer acquaintance, particularly during his Canberra years, they saw not only the scientist, but also a man of warmth and sympathy, good company and an engaging raconteur, fluent in French, which he enjoyed speaking, and with a liking for Mozart.

With regard to his science, Birch was certainly self-centred, a trait that may be necessary for outstanding achievement. Was he content with the recognition that he achieved? There were clear reservations as he looked back in an interview at the age of 79 years (Wright 1995). In the Australian system, he could not obtain significant research support beyond his retirement; other countries would have welcomed his continuing involvement. His assistance or even his advice had not been sought for ten years—‘I haven’t been made use of properly in this country’. He was critical of both government and industry in Australia. Although he was clearly proud of the Research School of Chemistry and its achievements, his answer when asked if it was worth the sacrifice on his part was ‘probably no’. He was certainly nominated several times for the Nobel Prize, although he did not believe in such major awards.

Behind the frank professional scientist, however, Arthur Birch was a private person. Those who knew Birch before his marriage noticed with pleasure the effect that it had on him. Before, he was a lone wolf who had always had to make his own way; now, he had constant support and love and he could give it too. John and Rita Cornforth were touched when, very late in his life, he told them that they were like a brother and sister to him. He was a welcome visitor to their Sussex home.

In his biography, he acknowledges his debt to Jessie, as a nurse for his ailing mother in Oxford and Cambridge, as his wife and mother of their five children, and as the support for his career: ‘she shared my scientific achievements’. She accompanied him twice from England to the other side of the world, where she now lives in the second of their Canberra homes. The first, which she helped to design in the style of a Roman villa around a pool, won the architectural award for a Canberra residence in 1968. An artist in her own right, she has been employed by the National Gallery of Australia, and has made other contributions to arts organization, the theatre, and family planning. Her enthusiasm for golf was not shared by her husband; even as her caddy he was ‘useless’. Jessie, their children Sue, Michael, Frank, Rosemary and Chris, and their ten ‘bright and beautiful grandchildren who made him a rich man’ were a source of great pride, pleasure, and ultimately strength during the terminal stages of his illness.

Birch’s family, and his fighting spirit and humour, sustained him through long illness and successive operations. He died in Canberra on 8 December 1995. He disliked pomp and ceremony, and had said that there should be neither service nor eulogy at his funeral; the occasion was to be more in the spirit of an Irish wake. His wishes were essentially met at his cremation and the subsequent gathering at the Australian Academy of Science on 11 December 1995.

Honours and Distinctions

Honours and Honorary Degrees

  • 1962 – MSc (ad. e. grad. ) University of Manchester
  • 1977 – DSc (honoris causa) University of Sydney
  • 1979 – Companion of the Most Distinguished Order of St Michael and St George (CMG)
  • 1981 – MA (ad. e. grad. ) Oxon.
  • 1982 – DSc (honoris causa) Monash University
  • 1982 – DSc (honoris causa) University of Manchester
  • 1987 – Companion of the Order of Australia (AC)

Elected Fellowships and Memberships

  • 1954 – Fellow, Australian Academy of Science
  • 1958 – Fellow, Royal Society
  • 1960 – Fellow, Royal Institute of Chemistry (Chartered Chemist)
  • 1968 – Fellow, Royal Australian Chemical Institute
  • 1976 – Full Foreign Academician, USSR Academy of Science (first election in Australia)
  • 1978 – President, Royal Australian Chemical Institute
  • 1980 – Honorary Fellow, Royal Society of Chemistry (Fellow 1936)
  • 1982-85 – University Fellow, Australian National University
  • 1982-86 – President, Australian Academy of Science
  • 1986 – Honorary Fellow, Royal Society of NSW (Fellow 1936)
  • 1989 – Foreign Fellow, Indian National Academy of Science
  • 1994 – Honorary Fellow, Royal Australian Chemical Institute

Distinctions and Named Lectureships

  • 1937 – University Medal in Chemistry, University of Sydney
  • 1945 – UK Defence Medal (1940–45)
  • 1954 – H. G. Smith Memorial Medal, Royal Australian Chemical Institute
  • 1960 – Simonsen Lectureship, Chemical Society
  • 1960 – University Medal, Université Libre de Bruxelles
  • 1960 – Fritsche (Gunther) Award for Terpene Chemistry, American Chemical Society
  • 1961 – Canadian Institute of Chemistry Visiting Professor
  • 1963 – E. C. Franklin Award for Outstanding Contribution to Chemistry, Phi Lambda Upsilon, Stanford University
  • 1963 – Smith Lectures, University of Oklahoma
  • 1966 – Royal Society Delegate, Romania
  • 1966 – Wilson Baker Lecturer, Bristol University
  • 1972 – Flintoff Medal, Chemical Society
  • 1972 – Purkyne Award for Contributions to Biochemistry, Czechoslovak Medical Society
  • 1972 – Matthew Flinders Medal and Lecture, Australian Academy of Science
  • 1972 – Davy Medal, Royal Society (first award in Australia)
  • 1974 – Liversidge Lecturer, Royal Society of New South Wales
  • 1976 – Ritchie Lecture, University of Sydney
  • 1980 – A. E. Leighton Memorial Medal, Royal Australian Chemical Institute
  • 1980 – Masson Memorial Lecturer, University of Melbourne
  • 1980–81 – Newton-Abraham Professor, University of Oxford
  • 1981 – Robert Robinson Lectureship, Royal Society of Chemistry
  • 1981 – Richard Martin Lecture, Université Libre de Bruxelles
  • 1982 – Natural Products Award, Royal Society of Chemistry
  • 1985 – Presenté à 1’Académie des Sciences de 1’Institut de France
  • 1986 – Plaque, Jurusan Kimia, Institut Teknologi Bandung
  • 1987 – Tetrahedron Prize for Creativity in Organic Chemistry
  • 1990 – ANZAAS Medal, Australia and New Zealand Association for the Advancement of Science
  • 1991 – Medaille Homage, Centre National de la Recherche Scientifique, Produits Naturelles
  • 1992 – Dedicated Issue, Australian Journal of Chemistry
  • 1995 – Main building of Research School of Chemistry, Australian National University, named the Arthur Birch Building

About this memoir

This memoir was originally published in Historical Records of Australian Science, vol.18, no.2, 2007. It was also published in Biographical Memoirs of Fellows of the Royal Society of London, 2007. It was written by Rodney W. Rickards (corresponding author), Research School of Chemistry, Australian National University, Canberra, ACT 0200, Australia, email: rickards@rsc.anu.edu; and Sir John Cornforth, Saxon Down, Cuilfail, Lewes, East Sussex BN7 2BE, UK.

Acknowledgments

Details of Arthur Birch’s early life and some factual information on his subsequent career are drawn from his scientific auto biography ‘To See the Obvious’, published by the American Chemical Society in 1995. We are grateful to the Birch family, including Jessie, Sue, Michael, Frank, Rosemary, and particularly Chris, for helpful comments and for providing a curriculum vitae and publication list. His colleagues Professors Carl Djerassi and David Craig, and former Australian Prime Minister Malcolm Fraser kindly responded to invitations for personal recollections. We ourselves accept responsibility for other narrative and scientific aspects of this memoir.

The frontispiece photograph was taken in 1989 by Bob van der Toorren, A. R. M. I. T., member A. I. P. P., Melbourne, and is reproduced with permission.

References to other authors

  • Burkhardt, G. N. 1954 The School of Chemistry in the University of Manchester (Faculty of Science). J. Roy. Inst. Chem., 448–460.
  • Collie, J. N. 1907 Derivatives of the multiple keten group. J. Chem. Soc., 1806–1813.
  • Cornforth, J. W., Cornforth, R. H. and Robinson, Sir Robert 1942 The preparation of β-tetralone from β-naphthol and some analogous transformations. J. Chem. Soc., 689–691.
  • Foster, S. G. and Varghese, M. M. 1996 The Making of the Australian National University, Allen and Unwin, St Leonards, pp. 229–234.
  • Jones, T. G. H. and Smith, F. B. 1928 Campnospermonol, a ketonic phenol from Campnospermum brevipetiolatum. J. Chem. Soc., 65–70.
  • Wooster, C. B. and Godfrey, K. L. 1937 Mechanism of the reduction of unsaturated compounds with alkali metals and water. J. Am. Chem. Soc. 59, 596–597. Wooster, C. B. 1939 Process for hydrogenatingaromatic hydrocarbons. US Pat. 2, 182, 242.
  • Wright, B. 1995 A chemist on his own. Chemistry in Australia, 62, 34–38.

Bibliography

  1. S. J. Hazlewood, G. K. Hughes, F. Lions, K. J. Baldick, J. W. Cornforth, J. N. Graves, J. J. Maunsell, T. Wilkinson, A. J. Birch, R. H. Harradence, S. S. Gilchrist, F. H. Monaghan and L. E. A. Wright (1937). Pyrroles derived from acetonylacetone. J. Proc. Roy. Soc. New South Wales 71, 92–102.
  2. A. J. Birch (1937). The detection and estimation of α-phellandrene in essential oils. J. Proc. Roy. Soc. New South Wales 71, 54–59.
  3. A. J. Birch and F. Lions (1938). The constitution of gmelinol. Part I. J. Proc. Roy. Soc. New South Wales 71, 391–405.
  4. A. J. Birch and J. C. Earl (1938). The structure of origanene. Part II. Its identity with α-thujene. J. Proc. Roy. Soc. New South Wales 72, 55–61.
  5. A. J. Birch (1938). Isonitroso-α-thujene. J. Proc. Roy. Soc. New South Wales 72, 106–108.
  6. A. J. Birch (1938). Note on the exudation of Araucaria bidwilli. J. Proc. Roy. Soc. New South Wales 71, 259–260.
  7. A. J. Birch (1938). The structure of origanene. I. J. Proc. Roy. Soc. New South Wales71, 330–335.
  8. A. J. Birch (1938). The α-phellandrene fraction of eucalyptus oils. J. Proc. Roy. Soc. New South Wales 71, 261–266.
  9. A. J. Birch and R. Robinson (1942). Longchain acids containing a quaternary carbonatom. Part I. J. Chem. Soc., 488–497.
  10. A. J. Birch and R. Robinson (1943). β-Alkylation of certain cationoid systems by means of Grignard reagents. J. Chem. Soc., 501–502.
  11. A. J. Birch (1943). Preparation of derivatives of 2, 2-dialkylcyclohexanone. J. Chem. Soc., 661–662.
  12. A. J. Birch and R. Robinson (1944). Experiments on the synthesis of substancesrelated to the sterols. Part XLIII. J. Chem. Soc., 503–506.
  13. A. J. Birch and R. Robinson (1944). The direct introduction of angular Me groups. J. Chem. Soc., 501–502.
  14. A. J. Birch (1944). A new reagent for primary and secondary amines. J. Chem. Soc., 314–315.
  15. A. J. Birch (1944). Reduction by dissolving metals. Part I. J. Chem. Soc., 430–436.
  16. A. J. Birch, R. Jaeger and R. Robinson (1945). The synthesis of substances related tothe sterols. Part XLIV. dl-cis-Equilenin. J. Chem. Soc., 582–586.
  17. A. J. Birch (1945). Reduction by dissolving metals. Part II. J. Chem. Soc., 809–813.
  18. J. G. Daunt, M. Desirant, K. Mendelssohn and A. J. Birch (1946). Conductivity of sodium–ammonia solutions. Phys. Rev. 70, 219.
  19. A. J. Birch (1946). Electrolytic reduction in liquid ammonia. Nature 158, 60.
  20. A. J. Birch (1946). Reduction by dissolving metals. Nature 158, 585.
  21. A. J. Birch (1946). Reduction by dissolving metals. Part III. J. Chem. Soc., 593–597.
  22. D. K. C. MacDonald, K. Mendelssohn and A. J. Birch (1947). Conductivity of sodium–ammonia solutions. Phys. Rev. 71, 563–564.
  23. A. J. Birch and D. K. C. MacDonald (1947). Metal-ammonia solutions. Nature 159, 811–812.
  24. A. J. Birch and D. K. C. MacDonald (1947). Some physical properties of solidified sodium–ammonia solutions. Trans. Faraday Soc. 43, 792–798.
  25. A. J. Birch (1947). 2-Cyclohexenones from2-methylpyridines. J. Chem. Soc., 1270.
  26. A. J. Birch (1947). Anionic intermediates in reduction by nascent hydrogen. Discussions Faraday Soc. 2, 246–251.
  27. A. J. Birch (1947). Colours of Jupiter. Nature159, 478.
  28. A. J. Birch (1947). Reduction by dissolving metals. Part IV. J. Chem. Soc., 102–105.
  29. A. J. Birch (1947). Reduction by dissolving metals. Part V. J. Chem. Soc., 1642–1648.
  30. A. J. Birch (1947). Reduction of aniline in ammonia. Nature 160, 754.
  31. A. J. Birch and D. K. C. MacDonald (1948). Metal-ammonia solutions. J. Chem. Phys. 16, 741.
  32. A. J. Birch and D. K. C. MacDonald (1948). The nature of metal-ammonia solutions. Part II. Trans. Faraday Soc. 44, 735–742.
  33. A. J. Birch (1948). Errors in scale estimation. Research 1, 287.
  34. A. J. Birch (1948). Metal–ammonia solutions. Oxford Sci., 1–13.
  35. A. J. Birch and S. M. Mukherji (1949). Reduction by dissolving metals. Part VI. Some applications in synthesis. J. Chem. Soc., 2531–2536.
  36. A. J. Birch and S. M. Mukherji (1949). Reduction by sodium-ammonia solutions. Nature 163, 766.
  37. A. J. Birch (1949). Reduction by dissolving metals. Part VIII. Some effects of structure on the course of reductive fission. J. Proc. Roy. Soc. New South Wales 83, 245–250.
  38. A. J. Birch (1949). The preparation of some esters of 3, 3-dimethylbutanol and 3, 3-dimethylpentanol. J. Chem. Soc., 2721–2722.
  39. A. J. Birch (1949). How Chemistry Works. pp. 218. London: Sigma.
  40. A. J. Birch (1950). A conversion of cholest-4-en-3-one into cholesterol. J. Chem. Soc., 2325–2326.
  41. A. J. Birch (1950). Hydroaromatic steroid hormones. Part I. 10-Nortestosterone. J. Chem. Soc., 367–368.
  42. A. J. Birch (1950). Reduction by dissolving metals. Part VII. The reactivity of mesomeric anions in relation to the reduction of benzene rings. J. Chem. Soc., 1551–1556.
  43. A. J. Birch (1950). The reduction of organic compounds by metal-ammonia solutions. Quart. Revs. 4, 69–93.
  44. A. J. Birch, A. R. Murray and H. Smith (1951). Reduction by dissolving metals. Part IX. Some hydronaphthalene derivatives. J. Chem. Soc., 1945–1950.
  45. A. J. Birch and A. R. Murray (1951). The constitution of lanceol. J. Chem. Soc., 1888–1890.
  46. A. J. Birch and H. Smith (1951). Hydroaromatic steroid hormones. Part II. Some hydrochrysene derivatives. J. Chem. Soc., 1882–1888.
  47. A. J. Birch (1951). An attempted total synthesis of testosterone. Chem. and Ind., 616.
  48. A. J. Birch (1951). Homocyclic compounds. Ann. Repts. Prog. Chem. 1950 (Chem. Soc. )47, 177–219.
  49. A. J. Birch (1951). β-Triketones. Part I. The structures of angustione, dehydroangustione, calythrone, and flavaspidic acid. J. Chem. Soc., 3026–3030.
  50. A. J. Birch and A. R. Todd (1952). Anthelmintics: kousso. Part II. The structures of protokosin, α-kosin, and β-kosin. J. Chem. Soc., 3102–3108.
  51. A. J. Birch, J. A. K. Quartey and H. Smith (1952). Hydroaromatic steroid hormones. Part III. Some angular-methylated inter -mediates. J. Chem. Soc., 1768–1774.
  52. A. J. Birch (1952). Homocyclic compounds. Ann. Repts. Prog. Chem. 1951 (Chem. Soc. )48, 184–210.
  53. A. J. Birch (1952). Terpene structures and their elucidation. Perfumery and Essential Oil Record, 43, 110–113, 132.
  54. A. J. Birch and F. N. Lahey (1953). The structure of aromadendrene. I. Aust. J. Chem. 6, 379–384.
  55. A. J. Birch, F. W. Donovan and F. Moewus (1953). Biogenesis of flavonoids in Chlamydomonas eugametos. Nature 172, 902–904.
  56. A. J. Birch and F. W. Donovan (1953). Studies in relation to biosynthesis. I. Somepossible routes to derivatives of orcinol and phloroglucinol. Aust. J. Chem. 6, 360–368.
  57. A. J. Birch and F. W. Donovan (1953). Studies in relation to biosynthesis. III. The structure of eleutherinol. Aust. J. Chem. 6, 373–378.
  58. A. J. Birch and J. A. K. Quartey (1953). Hydroaromatic steroid hormones: the androgenicactivity of a D-homobisnor steroid. Chem. and Ind., 489–490.
  59. A. J. Birch, K. M. C. Mostyn andA. R. Penfold (1953). The sesquiterpene alcohols of Eucarya spicata Sprague and Summ. Aust. J. Chem. 6, 391–394.
  60. A. J. Birch and P. Elliott (1953). Eudesmic acid: its identity with 3, 4, 5-trimethoxy -benzoic acid. J. Chem. Soc., 355–356.
  61. A. J. Birch and P. Elliott (1953). Studies in relation to biosynthesis. II. The structure of “macropone”. Aust. J. Chem. 6, 369–372.
  62. A. J. Birch, P. Hextall and J. A. K. Quartey (1953). A conversion of 4-cholesten-3-oneinto 5-cholesten-3-one. Aust. J. Chem. 6, 445–446.
  63. A. J. Birch, R. A. Massy-Westropp and S. E. Wright (1953). Natural derivatives of furan. I. Ngaione. Aust. J. Chem. 6, 385–390.
  64. A. J. Birch (1953). The total synthesis of steroids. Revs. Pure and Appl. Chem. 3, 61–82.
  65. A. J. Birch (1953). The volatile oil of Metrosideros scandens. J. Chem. Soc., 715.
  66. A. J. Birch, A. Fogiel and G. J. Harvey (1954). Reduction with dissolving metals. XI. The action of potassium and alcohols on some monobenzenoid substances. Aust. J. Chem. 7, 261–263.
  67. A. J. Birch and F. W. Donovan (1954). The structures of some natural naphthoquinones. Chem. and Ind., 1047–1048.
  68. A. J. Birch, G. K. Hughes and E. Smith (1954). The constitution of gmelinol. III. Final elucidation. Aust. J. Chem. 7, 83–86.
  69. A. J. Birch, J. Cymerman-Craig and M. Slaytor (1954). The preparation of aldehydes. Chem. and Ind., 1559–1560.
  70. A. J. Birch and K. M. C. Mostyn (1954). The steric configuration of eudesmol. Aust. J. Chem. 7, 301–303.
  71. L. Bauer, A. J. Birch and W. E. Hillis (1954). Some synthetic leucoanthocyanidins. Chem. and Ind., 433–434.
  72. A. J. Birch, P. Elliott and A. R. Penfold (1954). Studies in relation to biosynthesis. IV. Angustifolionol. Aust. J. Chem. 7, 169–172.
  73. A. J. Birch, P. Hextall and S. Sternhell (1954). Reduction with dissolving metals. X. Aromatic compounds containing electron sinks. Aust. J. Chem. 7, 256–260.
  74. A. J. Birch, R. A. Massy-Westropp, S. E. Wright, T. Kubota, T. Matsuura and M. D. Sutherland (1954). Ipomeamarone and ngaione. Chem. and Ind., 902.
  75. L. Bauer, A. J. Birch and A. J. Ryan (1955). Studies in relation to biosynthesis. VI. Rheosmin. Aust. J. Chem. 8, 534–538.
  76. A. J. Birch, D. J. Collins and A. R. Penfold (1955). Zierone: derivative of a new naturalazulene. Chem. and Ind., 1773–1774.
  77. A. J. Birch and F. W. Donovan (1955). Barbaloin. I. Some observations on its structure. Aust. J. Chem. 8, 523–528.
  78. A. J. Birch and F. W. Donovan (1955). Studies in relation to biosynthesis. V. The structures of some natural quinones. Aust. J. Chem. 8, 529–533.
  79. A. J. Birch, J. Cymerman-Craig and M. Slaytor (1955). Reduction by dissolving metals. XIII. The production of aldehydes from amidines, amides, and related compounds. Aust. J. Chem. 8, 512–518.
  80. A. J. Birch and K. M. C. Mostyn (1955). A new sesquiterpene alcohol from Himantandrabaccata Bail. Aust. J. Chem. 8, 550–551.
  81. A. J. Birch and M. Slaytor (1955). The use of Mannich base methiodides in the diene reaction. Aust. J. Chem. 8, 144.
  82. A. J. Birch, P. Elliott, S. K. Mukerjee, T. R. Rajagopalan, T. R. Seshadri and S. Varadarajan (1955). The synthesis ofangustifolionol. Aust. J. Chem. 8, 409–412.
  83. A. J. Birch and P. Hextall (1955). Reduction by dissolving metals. XII. The conversion of2, 5- into 2, 3-dihydroanisoles by means of potassium amide in ammonia. Aust. J. Chem. 8, 96–99.
  84. A. J. Birch and P. Hextall (1955). Studies onxanthorrhoea resins. II. Xanthorrhoein and hydroxypeonol. Aust. J. Chem. 8, 263–266.
  85. A. J. Birch, R. A. Massy-Westropp and C. J. Moye (1955). Studies in relation to biosynthesis. VII. 2-Hydroxy-6-methylbenzoicacid in Penicillium griseofulvum Dierckx. Aust. J. Chem. 8, 539–544.
  86. A. J. Birch, R. A. Massy-Westropp and C. J. Moye (1955). The biosynthesis of6-hydroxy-2-methylbenzoic acid. Chem. and Ind., 683–684.
  87. A. J. Birch, R. A. Massy-Westropp and R. W. Rickards (1955). Mycelianamide. Chem. and Ind., 1599.
  88. A. J. Birch and R. J. Harrisson (1955). Hydroaromatic steroid hormones. IV. (+)-19-Nor-D-homotestosterone. Aust. J. Chem. 8, 519–522.
  89. A. J. Birch (1955). The structure of fuscin. Chem. and Ind., 682–683.
  90. A. J. Birch (1955). The structure of stercobilin. Chem. and Ind., 652.
  91. A. J. Birch, A. V. Robertson and J. W. Clark-Lewis (1956). The relative configurations of catechin and epicatechin. Chem. and Ind., 664–665.
  92. A. J. Birch and E. Smith (1956). Loganin. I. Some observations on the structure. Aust. J. Chem. 9, 234–237.
  93. A. J. Birch, H. Smith and R. E. Thornton (1956). The stereochemistry of the metalammonia reduction of α, β-unsaturated ketones. Chem. and Ind., 1310.
  94. A. J. Birch and H. Smith (1956). Hydroaromatic steroid hormones. Part V. Some D-homo-18, 19-bisnorsteroids. J. Chem. Soc., 4909–4916.
  95. J. B. Davenport, A. J. Birch and A. J. Ryan (1956). The alkali-catalyzed isomerization of unsaturated compounds. Chem. and Ind., 136–137.
  96. A. J. Birch and M. Slaytor (1956). Reduction of cinnamyl alcohols with aluminum chloride and lithium aluminum hydride. Chem. and Ind., 1524.
  97. A. J. Birch and P. Elliott (1956). Dehydroangustione. Chem. and Ind., 124–125.
  98. A. J. Birch and P. Elliott (1956). Studies in relation to biosynthesis. VIIIa. Tasmanone, dehydroangustione, and calythrone. Aust. J. Chem. 9, 95–104.
  99. A. J. Birch and P. Elliott (1956). β-Triketones. III. Xanthostemone. Aust. J. Chem. 9, 238–240.
  100. A. J. Birch, R. A. Massy-Westropp and R. W. Rickards (1956). Studies in relation tobio synthesis. Part VIII. The structure of mycelianamide. J. Chem. Soc., 3717–3721.
  101. A. J. Birch and R. W. Rickards (1956). Natural derivatives of furan. II. The structure of evodone. Aust. J. Chem. 9, 241–243.
  102. A. J. Birch (1956). Biosynthetic theories inorganic chemistry. In Perspectives in Organic Chemistry (ed. A. R. Todd), 134–154. London: Interscience.
  103. A. J. Birch (1956). The investigation of natural products. J. Sci. Indust. Res. 15A, 353–358.
  104. A. J. Birch and C. J. Moye (1957). Studies in relation to biosynthesis. Part X. A synthesis of lumichrome from nonbenzenoid precursors. J. Chem. Soc., 412–414.
  105. A. J. Birch, D. G. Pettit and R. Schofield (1957). Studies in relation to biosynthesis. Part IX. The structure of spherophysine. J. Chem. Soc., 410–411.
  106. E. F. L. J. Anet, A. J. Birch and R. A. Massy-Westropp (1957). The isolation of shikimic acid from Eucalyptus citriodora Hook. Aust. J. Chem. 10, 93–94.
  107. A. J. Birch, E. Pride and H. Smith (1957). Studies in relation to biosynthesis. Part XII. The synthesis of ethyl 4-formyl-3-methylbut-3-enoate. J. Chem. Soc., 5096–5097.
  108. A. J. Birch, H. Smith and R. E. Thornton (1957). Reduction by dissolving metals. Part XIV. Some stereochemical aspects of the reduction of α, β-unsaturated ketones. J. Chem. Soc., 1339–1342.
  109. A. J. Birch, J. W. Clark-Lewis and A. V. Robertson (1957). The relative and absolute configurations of catechins and epicatechins. J. Chem. Soc., 3586–3594.
  110. A. J. Birch and R. A. Massy-Westropp (1957). Studies in relation to biosynthesis. Part XI. The structure of nalgiovensin. J. Chem. Soc., 2215–2217.
  111. A. J. Birch, R. A. Massy-Westropp, R. W. Rickards and H. Smith (1957). The conversion of acetic acid into griseofulvin in Penicillium griseofulvum Dierckx. Proc. Chem. Soc., 98.
  112. A. J. Birch and R. J. English (1957). β-Triketones. Part IV. The chromophore of caly -throne. J. Chem. Soc., 3805–3806.
  113. A. J. Birch, R. J. English, R. A. Massy-Westropp and H. Smith (1957). The origin of the terpenoid structures in mycelianamide and mycophenolic acid. Mevalonic acid as an irreversible precursor in terpene bio -synthesis. Proc. Chem. Soc., 233–234.
  114. A. J. Birch, R. J. English, R. A. Massy-Westropp, M. Slaytor and H. Smith (1957). The biochemical origins of the methyl groups of mycophenolic acid. Proc. Chem. Soc., 204.
  115. A. J. Birch (1957). Biosynthetic relations of some natural phenolic and enolic compounds. In Fortschr. Chem. org. Naturstoffe, vol. 14, pp. 186–216. Vienna: Springer-Verlag.
  116. A. J. Birch (1957). Liquid ammonia as a solvent. J. Roy. Inst. Chem. 81, 100–105.
  117. A. J. Birch (1957). The chemistry of terpenoid compounds. Nature 180, 470–471.
  118. A. J. Birch, A. J. Ryan and H. Smith (1958). Studies in relation to biosynthesis. Part XIX. The biosynthesis of helminthosporin. J. Chem. Soc., 4773–4774.
  119. A. J. Birch, B. Milligan, E. Smith andR. N. Speake (1958). Some stereochemical studies of lignans. J. Chem. Soc., 4471–4476.
  120. A. J. Birch and C. J. Moye (1958). Studies in relation to biosynthesis. Part XVI. The synthesis of lumiflavin from non-benzenoid precursors. J. Chem. Soc., 2622–2624.
  121. A. J. Birch, E. Pride and H. Smith (1958). Hydroaromatic steroid hormones. Part VI. Some D-homo-analogues lacking ring B. J. Chem. Soc., 4688–4693.
  122. A. J. Birch, G. A. Hughes and H. Smith (1958). Hydroaromatic steroid hormones. Part VII. (±)-17α-Ethynyl-17α-hydroxy-Dhomo-18, 19-bisnorandrost-4-en-3-one. J. Chem. Soc., 4774–4776.
  123. A. J. Birch, G. E. Blance and H. Smith (1958). Studies in relation to biosynthesis. Part XVIII. Penicillic acid. J. Chem. Soc., 4582–4583.
  124. A. J. Birch and H. Smith (1958). Oxidative formation of biologically active compounds from peptides. Ciba Foundation Symposium, Amino Acids Peptides Antimetabolic Activity, 247–257, discussion 257–263
  125. A. J. Birch and H. Smith (1958). Reduction by metal-amine solutions; applications insynthesis and determination of structure. Quart. Revs. 12, 17–33.
  126. A. J. Birch and H. Smith (1958). The bio -synthesis of aromatic compounds from C1-and C2-units. Chem. Soc. Spec. Publ., 1–16.
  127. H. D. Law, I. T Millar, H. D. Springall and A. J. Birch (1958). The structure of evolidine. Proc. Chem. Soc., 198.
  128. A. J. Birch, J. Schofield and H. Smith (1958). The origin of the C5-unit in auroglaucin. Chem. and Ind., 1321.
  129. A. J. Birch, P. Fitton, E. Pride, A. J. Ryan, H. Smith and W. B. Whalley (1958). Studies in relation to biosynthesis. Part XVII. Sclerotiorin, citrinin, and citromycetin. J. Chem. Soc., 4576–4581.
  130. A. J. Birch, R. A. Massy-Westropp, R. W. Rickards and H. Smith (1958). Studies in relation to biosynthesis. Part XIII. Griseofulvin. J. Chem. Soc., 360–365.
  131. A. J. Birch, R. I. Fryer and H. Smith (1958). The biosynthesis of aurantiogliocladin, rubriogliocladin, and gliorosein: a possible relation to the biosynthesis of ubiquinone (coenzyme Q). Proc. Chem. Soc., 343–344.
  132. A. J. Birch, R. J. English, R. A. Massy-Westropp and H. Smith (1958). Studies in relation to biosynthesis. Part XV. Origin of terpenoid structures in mycelianamide and mycophenolic acid. J. Chem. Soc., 369–375.
  133. A. J. Birch, R. J. English, R. A. Massy-Westropp, M. Slaytor and H. Smith (1958). Studies in relation to biosynthesis. Part XIV. The origin of the nuclear methyl groups in mycophenolic acid. J. Chem. Soc., 365–368.
  134. A. J. Birch, R. W. Rickards and H. Smith (1958). The biosynthesis of gibberellic acid. Proc. Chem. Soc., 192–193.
  135. A. J. Birch, R. W. Rickards, H. Smith, A. Harris and W. B. Whalley (1958). The biosynthesis of rosenonolactone, a diterpenoid metabolite of Trichothecium roseum Link. Proc. Chem. Soc., 223.
  136. A. J. Birch, D. Boulter, R. I. Fryer, P. J. Thomson and J. L. Willis (1959). The biosynthesis of citronellal and cineole in Eucalyptus. Tetrahedron Lett. (3) 1–2.
  137. A. J. Birch, D. Nasipuri and H. Smith (1959). Reduction of monobenzenoid compounds bymetal–ammonia–alcohol systems. Experi -entia 15, 126–127.
  138. A. J. Birch and D. Nasipuri (1959). Reaction mechanisms in reduction by metal–ammonia solutions. Tetrahedron 6, 148–153.
  139. A. J. Birch and H. Smith (1959). The bio -synthesis of terpenoid compounds in fungi. Ciba Foundation Symposium 1958. The Bio -synthesis of Terpenes and Sterols, 245–263, discussion 263–266.
  140. A. J. Birch, H. F. Hodson and G. F. Smith (1959). Echitamine. Proc. Chem. Soc., 224.
  141. A. J. Birch, J. Grimshaw, R. N. Speake, R. M. Gascoigne and R. O. Hellyer (1959). Aromadendrene and viridiflorol. TetrahedronLett. (3) 15–18.
  142. A. J. Birch, O. C. Musgrave, R. W. Rickards and H. Smith (1959). Studies in relation to biosynthesis. Part XX. The structure and biosynthesis of curvularin. J. Chem. Soc., 3146–3152.
  143. A. J. Birch, R. W. Rickards, H. Smith, A. Harris and W. B. Whalley (1959). Studies in relation to biosynthesis, - XXI. Roseno -nolactone and gibberellic acid. Tetrahedron7, 241–251.
  144. A. J. Birch, B. J. McLoughlin and H. Smith (1960). The biosynthesis of the ergot alkaloids. Tetrahedron Lett. 1, 1–3.
  145. A. J. Birch, B. J. McLoughlin, H. Smith and J. Winter (1960). Biosynthesis of β-nitropropionic acid. Chem. and Ind., 840–841.
  146. A. J. Birch, D. G. Pettit, A. J. Ryan and R. N. Speake (1960). Flavanones in Angophora lanceolata. J. Chem. Soc., 2063–2066.
  147. A. J. Birch, D. W. Cameron and R. W. Rickards (1960). Studies in relation tobiosynthesis. Part XXIII. The formation of aromatic compounds from β-polyketones. J. Chem. Soc., 4395–4400.
  148. A. J. Birch, D. W. Cameron, P. W. Holloway and R. W. Rickards (1960). Further examples of biological C-methylation. Novobiocin and actinomycin. Tetrahedron Lett. 1, 26–31.
  149. A. J. Birch, D. W. Cameron, R. W. Rickards and Y. Harada (1960). Antimycin-A. Proc. Chem. Soc., 22–23.
  150. A. J. Birch, E. Pride, R. W. Rickards, P. J. Thomson, J. D. Dutcher, D. Perlman and C. Djerassi (1960). Biosynthesis of methy -mycin. Chem. and Ind., 1245–1246.
  151. A. J. Birch, E. Ritchie and R. N. Speake (1960). The structure of alphitonin. J. Chem. Soc., 3593–3599.
  152. A. J. Birch, H. F. Hodson, B. Moore, H. Potts and G. F. Smith (1960). Echitamine. Tetrahedron Lett. 1, 36–42.
  153. A. J. Birch, J. F. Grove and I. S. Nixon (1960). Gibberellic acid. Brit. Pat. GB844341 19600810.
  154. J. F. Snell, A. J. Birch and P. L. Thomson (1960). The biosynthesis of tetracycline antibiotics. J. Am. Chem. Soc. 82, 2402.
  155. A. J. Birch and M. Kocor (1960). Studies in relation to biosynthesis. Part XXII. Palitantin and cyclopaldic acid. J. Chem. Soc., 866–871.
  156. A. J. Birch, R. W. Rickards, H. Smith, J. Winter and W. B. Turner (1960). The allo -gibberic-gibberic acid rearrangement. Chem. and Ind., 401–402.
  157. A. J. Birch (1960). Phytochemical surveys in Australia. W. Afric. J. Biol. Chem. 4, 3–5.
  158. A. J. Birch (1960). Terpenoid compounds of mixed biogenetic origins in fungi. Chemisch Weekblad 56, 597–602.
  159. A. J. Birch (1960). The biosynthesis of flavonoids and anthocyanins. In Proc. XVIIIUPAC Conf. Munich 1959. pp. 73–84. London: Butterworth.
  160. A. J. Birch, A. Cassera and R. W. Rickards (1961). Intermediates in biosynthesis from acetate units. Chem. and Ind., 792–793.
  161. A. J. Birch and C. J. Moye (1961). The synthesis of 4, 5, 7-trimethoxy-2-propyl anthra -quinone. J. Chem. Soc., 4691–4692.
  162. C. W. L. Bevan, A. J. Birch and H. Caswell (1961). An insect repellant from black cocktailants. J. Chem. Soc., 488.
  163. A. J. Birch, D. W. Cameron, Y. Harada and R. W. Rickards (1961). The structure of the antimycin-A complex. J. Chem. Soc., 889–895.
  164. A. J. Birch, G. E. Blance, S. David and H. Smith (1961). Studies in relation to biosynthesis. Part XXIV. Some remarks on the structure of echinulin. J. Chem. Soc., 3128–3131.
  165. A. J. Birch, H. F. Hodson, B. Moore and G. F. Smith (1961). The reactions of echitamine. Proc. Chem. Soc., 62–63.
  166. A. J. Birch, J. Grimshaw and H. R. Juneja (1961). Aucubin. J. Chem. Soc., 5194–5198.
  167. A. J. Birch and J. Grimshaw (1961). Loganin. Part II. Structural interpretation of the spectralproperties. J. Chem. Soc., 1407–1408.
  168. A. J. Birch, J. Grimshaw, A. R. Penfold, N. Sheppard and R. N. Speake (1961). An independent confirmation of the structure of geijerene by physical methods. J. Chem. Soc., 2286–2291.
  169. A. J. Birch and M. Slaytor (1961). The synthesis of (±)-S-3-methylbut-2-enylhomo -cysteine. J. Chem. Soc., 4692.
  170. A. J. Birch, R. I. Fryer, P. J. Thomson andH. Smith (1961). Pigments of Phomaterrestris and their biosynthesis. Nature 190, 441–442.
  171. A. J. Birch, E. M. A. Shoukry and F. Stansfield (1961). The base-catalyzed isomerisation of some 3-alkyldihydroanisoles. J. Chem. Soc., 5376–5380.
  172. A. J. Birch (1961). Biosynthesis of natural products. In Proc. Symp. Phytochem., Univ. Hong Kong Jubilee.
  173. A. J. Birch (1961). Biosynthesis of some monobenzenoid quinones. Ciba Foundation Symposium 1960. Quinones in Electron Transport, 233–243.
  174. A. J. Birch (1961). Reduction by metalammonia solutions. Lectures Commem -orating Inauguration Shionogi Research Laboratories, 176–187.
  175. A. J. Birch, A. Cassera, P. Fitton, J. S. E. Holker, H. Smith, G. A. Thompson and W. B. Whalley (1962). Studies in relation to biosynthesis. Part XXX. Rotiorin, monascin, and rubropunctatin. J. Chem. Soc., 3583–3586.
  176. A. J. Birch, B. Moore and R. W. Rickards (1962). Curvularin. Part IV. Synthesis of adegradation product. J. Chem. Soc., 220–222.
  177. A. J. Birch, B. Moore, S. K. Mukerjee and C. W. L. Bevan (1962). A partial synthesis of (±)-pisatin from pterocarpin. Tetrahedron Lett. 3, 673–676.
  178. A. J. Birch, C. J. Moye, R. W. Rickards and Z. Vanek (1962). Studies in relation to biosynthesis. Part XXXI. Some developments of the bromopicrin reaction. J. Chem. Soc., 3586–3589.
  179. A. J. Birch, D. J. Collins, A. R. Penfold and J. P. Turnbull (1962). The structure ofzierone. Part II. J. Chem. Soc., 792–799.
  180. A. J. Birch, D. W. Cameron, Y. Harada and R. W. Rickards (1962). Studies in relation tobiosynthesis. Part XXV. A preliminary study of the antimycin A complex. J. Chem. Soc., 303–305.
  181. A. J. Birch and E. Pride (1962). Studies in relation to biosynthesis. Part XXVI. 7-Hydroxy-4, 6-dimethylphthalide. J. Chem. Soc., 370–371.
  182. A. J. Birch, J. F. Snell and P. J. Thompson (1962). Studies in relation to biosynthesis. Part XXVIII. Oxytetracycline (Terramycin). J. Chem. Soc., 425–429.
  183. A. J. Birch, J. M. H. Graves and F. Stansfield (1962). A convenient synthesis of some tropone derivatives. Proc. Chem. Soc., 282.
  184. A. J. Birch, M. Kocor and D. C. C. Smith (1962). Hydroaromatic steroid hormones. Part VIII. 1, 2, 3, 4, 5, 6, 11, 12-Octahydro-8- methoxy-1-oxochrysene. J. Chem. Soc., 782–785.
  185. A. J. Birch, M. Kocor, N. Sheppard and J. Winter (1962). Studies in relation to biosynthesis. XXIX. The terpenoid chain of mycelianamide. J. Chem. Soc., 1502–1505.
  186. A. J. Birch and M. Smith (1962). The addition of Grignard reagents to α, β-unsaturated ketones catalyzed by copper salts. Proc. Chem. Soc., 356.
  187. A. J. Birch, R. W. Holloway and R. W. Rickards (1962). Biosynthesis of noviose, a branched-chain monosaccharide. Biochim. Biophys. Acta 57, 143–145.
  188. S. Bhattacharji, A. J. Birch, A. Brack, A. Hofmann, H. Kobel, D. C. C. Smith, H. Smith and J. Winter (1962). Studies in relation to biosynthesis. Part XXVII. The biosynthesis of ergot alkaloids. J. Chem. Soc., 421–425.
  189. A. J. Birch (1962). Biosynthesis of flavonoids and anthocyanins. In Chemistry of Flavonoid Compounds (ed. T. A. Geissman), pp. 618–625. New York: MacMillan Co.
  190. A. J. Birch (1962). Some pathways in biosynthesis. Proc. Chem. Soc., 3–13.
  191. A. J. Birch, D. J. Collins, S. Muhammad and J. P. Turnbull (1963). The structure of flin -dissol. Some remarks on the elemi acids. J. Chem. Soc., 2762–2772.
  192. A. J. Birch, D. W. Cameron, C. W. Holzapfel and R. W. Rickards (1963). The diterpenoid nature of pleuromutilin. Chem. and Ind., 374–375.
  193. A. J. Birch, J. Grimshaw and J. P. Turnbull (1963). A possible structure for eremo -lactone, a new type of diterpene. J. Chem. Soc., 2412–2417.
  194. A. J. Birch and J. Winter (1963). A partial synthesis of 14C-phyllocladene: some observationson the biosynthesis of gibberellic acid. J. Chem. Soc., 5547–5548.
  195. A. J. Birch, J. M. H. Graves and J. B. Siddall (1963). Hydroaromatic steroid hormones. Part IX. Tropone analogues of estrone. J. Chem. Soc., 4234–4237.
  196. A. J. Birch and K. R. Farrar (1963). Studies in relation to biosynthesis. Part XXXIII. Incorporation of tryptophan into echinulin. J. Chem. Soc., 4277–4278.
  197. A. J. Birch, P. Fitton, D. C. C. Smith, D. E. Steere and A. R. Stelfox (1963). Studies in relation to biosynthesis. Part XXXII. Preparation, spectra, and hydrolysis of poly-β-carbonyl compounds. J. Chem. Soc., 2209–2216.
  198. A. J. Birch (1963). Biosynthetic pathways. In Chemical Plant Taxonomy (ed. T. Swain), pp. 141–166. New York: Academic.
  199. A. J. Birch (1963). The biosynthesis of antibiotics. Pure and Applied Chemistry 7, 527–537.
  200. A. J. Birch, B. Moore, E. Smith and M. Smith (1964). The conversion of gmelinol intoneogmelinol. J. Chem. Soc., 2709–2712.
  201. A. J. Birch, C. Djerassi, J. D. Dutcher, J. Majer, D. Perlman, E. Pride, R. W. Rickards and P. J. Thomson (1964). Studies in relation to biosynthesis. Part XXXV. Macrolide antibiotics. Part XII. Methymycin. J. Chem. Soc., 5274–5278.
  202. A. J. Birch, C. W. Holzapfel, R. W. Rickards, C. Djerassi, M. Suzuki, J. W. Westley, J. D. Dutcher and R. Thomas (1964). Studies in relation to biosynthesis. Part XXXVI. Macrolide antibiotics. XIII. Nystatin. V. Biosynthetic definition of some structural features. Tetrahedron Lett. 5, 1485–1490.
  203. A. J. Birch, C. W. Holzapfel, R. W. Rickards, C. Djerassi, P. C. Seidel, M. Suzuki, J. W. Westley and J. D. Dutcher (1964). Nystatin. Part VI. Chemistry and partial structure of the antibiotic. Tetrahedron Lett. 5, 1491–1497.
  204. C. W. L. Bevan, A. J. Birch, B. Moore and S. K. Mukerjee (1964). A partial synthesis of (±)-pisatin: some remarks on the structure and reactions of pterocarpin. J. Chem. Soc., Suppl., 5991–5995.
  205. A. J. Birch and D. A. White (1964). A direct conversion of α-tetralone into naphthalene. J. Chem. Soc., 4086.
  206. A. J. Birch, D. N. Butler and J. B. Siddall (1964). Reactions of cyclohexadienes. Part II. Some reactions of adducts of benzoquinones and 1-methoxycyclohexadienes. J. Chem. Soc., 2932–2941.
  207. A. J. Birch, D. N. Butler and J. B. Siddall (1964). Reactions of cyclohexadienes. Part III. Conversion of some 1-methoxycyclohexa-1, 3-dienes into polycyclic quinones. J. Chem. Soc., 2941–2944.
  208. A. J. Birch, D. N. Butler and R. W. Rickards (1964). The structure of the azaanthraquinone phomazarin. Tetrahedron Lett. 5, 1853–1858.
  209. A. J. Birch and D. N. Butler (1964). The structure of hyptolide. J. Chem. Soc., 4167–4168.
  210. A. J. Birch, F. A. Hochstein, J. A. K. Quartey and J. P. Turnbull (1964). Structure and some reactions of acoric acid. J. Chem. Soc., 2923–2931.
  211. F. A. Kincl, A. J. Birch and R. I. Dorfman (1964). Pituitary gonadotropic inhibitoryactivity of various steroids in ovariectomized-intact female rats in parabiosis. Proc. Soc. Exper. Biol. Med. 117, 549–552.
  212. A. J. Birch, J. M. Brown and F. Stansfield (1964). A new route to a cyclooctane derivative. Chem. and Ind., 1917–1918.
  213. A. J. Birch, J. M. Brown and F. Stansfield (1964). Reactions of cyclohexadienes. IV. Some transformations of bisdihalocarbene adducts. J. Chem. Soc., 5343–5348.
  214. A. J. Birch, J. M. Brown and G. S. R. Subba Rao (1964). Hydroaromatic steroid hormones. Part X. Conversion of estrone intoandrost-4-ene-3, 17-dione. J. Chem. Soc., 3309–3312.
  215. A. J. Birch, M. Salahud-Din and D. C. C. Smith (1964). The structure of xanthor rhoein. Tetrahedron Lett. 5, 1623–1627.
  216. A. J. Birch and M. Salahud-Din (1964). A natural flavan. Tetrahedron Lett. 5, 2211–2214.
  217. A. J. Birch and M. Smith (1964). The constitution of gmelinol. Part IV. Stereochemistryand relationships to other lignans. J. Chem. Soc., 2705–2708.
  218. A. J. Birch, P. Hodge, R. W. Rickards, R. Takeda and T. R. Watson (1964). The structure of pyoluteorin. J. Chem. Soc., 2641–2644.
  219. A. J. Birch, P. E. Cross, J. Lewis and D. A. White (1964). Iron tricarbonyl adducts of dihydroanisoles: an adduct of a tautomers of phenol. Chem. and Ind. 20, 838.
  220. A. J. Birch, S. F. Hussain and R. W. Rickards (1964). Studies in relation to biosynthesis. Part XXXIV. The branched-chain origin of citromycetin. J. Chem. Soc., 3494–3495.
  221. A. J. Birch, G. A. Hughes, G. Kruger and G. S. R. Subba Rao (1964). Hydroaromaticsteroid hormones. Part XII. J. Chem. Soc., Suppl., 5889–5891.
  222. A. J. Birch (1964). Aspects of the biosynthesis of phenolic and related compounds from acetic acid. VII Corso Estivo di Chimica, Biogenesi delle Sostanze Naturali1962, Roma Accad. Naz. dei Lincei, 57–66.
  223. A. J. Birch (1964). Some aspects of structure and biosynthesis in the terpene field. Perfumery and Essential Oil Record 55, 587–596.
  224. A. J. Birch (1964). Some considerations of biosynthesis and taxonomy. VII Corso Estivodi Chimica, Biogenesi delle Sostanze Naturali 1962, Roma Accad. Naz. dei Lincei, 77–93.
  225. A. J. Birch (1964). The biosynthesis of some antibiotics. VII Corso Estivo di Chimica, Biogenesi delle Sostanze Naturali 1962, Roma Accad. Naz. dei Lincei, 67–75.
  226. A. J. Birch, A. Cassera and A. R. Jones (1965). The biosynthesis of terrein. J. Chem. Soc., Chem. Comm., 167–168.
  227. A. J. Birch, A. J. Ryan, J. Schofield and H. Smith (1965). Studies in relation to biosynthesis. Part XXXVII. Some structures derived from acetic acid by two pathways. J. Chem. Soc., 1231–1234.
  228. A. J. Birch, D. N. Butler, C. J. Moye, R. W. Rickards and J. B. Siddall (1965). A new synthesis of polycyclic quinones. Bulletin of the National Institute of Sciences of India 28, 99–104.
  229. A. J. Birch and G. S. R. Subba Rao (1965). Steroid hormones. Part XIII. 13-Aza- and13-aza-D-homo analogues of equilenin methyl ether. J. Chem. Soc., 3007–3008.
  230. A. J. Birch and G. S. R. Subba Rao (1965). Steroid hormones. Part XV. (±)-8α-Androst-4-ene-3, 17-dione from 8α-estrone methyl ether. J. Chem. Soc., 5139–5140.
  231. A. J. Birch and J. B. Siddall (1965). Hydroaromatic steroid hormones. Part XI. A steroid with an angular aromatic ring. J. Chem. Soc., 1552–1553.
  232. A. J. Birch, J. M. H. Graves andG. S. R. Subba Rao (1965). Steroid hormones. Part XIV. Further tropone and tropolone analogues. J. Chem. Soc., 5137–5138.
  233. A. J. Birch, L. Loh, A. Pelter, J. H. Birkinshaw, P. Chaplen, A. H. Manchanda and M. Riano-Martin (1965). The structure of canescin. Tetrahedron Lett. 6, 29–32.
  234. A. J. Birch, P. E. Cross and H. Fitton (1965). Reactions of some metal carbonyls with1-methoxycyclohexa-1, 4-diene and related compounds. J. Chem. Soc., Chem. Comm., 366–367.
  235. A. J. Birch (1965). Chemical and physical properties of metal-ammonia solutions. Cooch Behar Lectures 1960. Calcutta: Indian Assoc. Cultiv. Sci.
  236. A. J. Birch (1965). Organic reactions in liquid ammonia. Chem. and Ind., 594–595.
  237. A. J. Birch, C. W. Holzapfel and R. W Rickards (1966). The structure and some aspects of the biosynthesis of pleuromutilin. Tetrahedron 22 Suppl. 8, 359–387.
  238. A. J. Birch, G. S. R. Subba Rao and J. P. Turnbull (1966). Eremolactone. Tetrahedron Lett. 7, 4749–4751.
  239. A. J. Birch and G. S. R. Subba Rao (1966). Steroid hormones. Part XVIII. Some derivatives of hexoestrol [3, 4-di (p-hydroxy -phenyl)hexane]. J. Chem. Soc. C, 1213–1214.
  240. A. J. Birch and G. S. R. Subba Rao (1966). Steroid hormones – XVII. Further A-homo -steroid hormones. Tetrahedron 22, Suppl. 7, 391–395.
  241. A. J. Birch and H. Fitton (1966). A vitamin-A aldehyde-tricarbonyliron adduct. J. Chem. Soc. C, 2060–2061.
  242. A. J. Birch, H. Fitton, R. Mason, G. B. Robertson and J. E. Stangroom (1966). Vitamin-A aldehyde iron tricarbonyl. J. Chem. Soc., Chem. Comm., 613–614.
  243. A. J. Birch, J. L. Willis, R. O. Hellyer and M. Salahud-Din (1966). The biosynthesis of tasmanone. J. Chem. Soc. C, 1337.
  244. A. J. Birch and J. S. Hill (1966). Reactions of cyclohexadienes. Part V. A new synthesis of4-substituted cyclohexenones. J. Chem. Soc., Org., 419–424.
  245. A. J. Birch and J. S. Hill (1966). Reactions of cyclohexadienes. Part VI. Further reactions of Diels–Alder adducts from 1-methoxy cyclo -hexadienes. J. Chem. Soc. C, 2324–2327.
  246. A. J. Birch and K. A. M. Walker (1966). Aspects of catalytic hydrogenation with a soluble catalyst. J. Chem. Soc. C, 1894–1896.
  247. A. J. Birch and K. A. M. Walker (1966). Specific deuteration of unsaturated compounds. Tetrahedron Lett. 7, 4939–4940.
  248. A. J. Birch, M. Salahud-Din and D. C. C. Smith (1966). The synthesis of (±)-xanthorrhoein. J. Chem. Soc., Org., 523–527.
  249. A. J. Birch, P. E. Cross, D. T. Connor and G. S. R. Subba Rao (1966). Steroid hormones. Part XVI. Some organometallic and3-deoxysteroids. J. Chem. Soc., Org., 54–56.
  250. A. J. Birch (1966). Biosynthetic intermediates in polyketide biosynthesis. Proc. Meet. Fed. Eur. Biochem. Soc., 2nd, 1965, 3, 3–13.
  251. A. J. Birch (1966). Some natural antifungal agents. Chem. and Ind., 1173–1176.
  252. A. J. Birch, C. J. Dahl and A. Pelter (1967). The isolation and characterization of a new type of biflavan derivative from a Xanthorrhoea. Tetrahedron Lett. 8, 481–487.
  253. A. J. Birch, G. M. Iskander, B. I. Magboul and F. Stansfield (1967). Conversion of some dihalocyclopropanes into unsaturated ketones. J. Chem. Soc. C, 358–361.
  254. A. J. Birch and G. S. R. Subba Rao (1967). A ring C aromatic bisnorsteroid. TetrahedronLett. 8, 857–858.
  255. A. J. Birch and G. S. R. Subba Rao (1967). New total syntheses of (±)-equilenin methylether and (±)-isoequilenin methyl ether: some remarks on polyphosphoric acidcyclizations. Tetrahedron Lett. 8, 2763–2765.
  256. A. J. Birch and G. S. R. Subba Rao (1967). Steroid hormones. Part XIX. (+)-9β-Androstenedioneand “retro”-androstenedione from9β-estrone. J. Chem. Soc. C, 2509–2510.
  257. A. J. Birch and J. S. Hill (1967). Reactions of cyclohexadienes. Part VII. A Diels–Alder adduct of a tetrahydropyranyloxycyclohexadiene. J. Chem. Soc. C, 125–126.
  258. A. J. Birch and K. A. M. Walker (1967). Homogeneous hydrogenation in the presence of sulfur compounds. Tetrahedron Lett. 8, 1935–1936.
  259. A. J. Birch and K. A. M. Walker (1967). Hydrogenation of some quinones to ene -diones. Tetrahedron Lett. 8, 3457–3458.
  260. A. J. Birch and K. S. J. Stapleford (1967). The structure of nalgiolaxin. J. Chem. Soc. C, 2570–2571.
  261. A. J. Birch and M. Maung (1967). The synthesis of ortho-isopentenylphenols. Tetra -hedron Lett. 8, 3275–3276.
  262. A. J. Birch, P. L. MacDonald and A. Pelter (1967). A revised structure for neogmelinol: determinations of configurations in tetra -hydrofuranoid lignans. J. Chem. Soc. C, 1968–1972.
  263. A. J. Birch (1967). A-Homoestratrien-3-onederivatives. Ger. Pat. DE 1252679 19671026.
  264. A. J. Birch (1967). Biosynthesis of poly -ketides and related compounds. Science 156, 202–206.
  265. A. J. Birch (1967). Fumagillin. Antibiotics (USSR) 2, 152–153.
  266. A. J. Birch (1967). Nystatin. Antibiotics (USSR) 2, 228–230.
  267. A. J. Birch (1967). Some approaches to the total synthesis of steroid hormones and analogues based on aromatic precursors. Proc. Int. Congr. Hormonal Steroids, 2nd, Milan, 1966, 316–320.
  268. A. J. Birch, A. A. Qureshi and R. W. Rickards (1968). Metabolites of Aspergillus indicus: the structure and some aspects of the biosynthesis of dihydrocanadensolide. Aust. J. Chem. 21, 2775–2784.
  269. A. J. Birch and G. S. R. Subba Rao (1968). Olefin isomerizations using tristri phenyl -phosphinerhodium chloride. Tetrahedron Lett. 9, 3797–3798.
  270. A. J. Birch and G. S. R. Subba Rao (1968). Oxidations catalyzed by tris (triphenyl -phosphine) rhodium chloride. Tetrahedron Lett. 9, 2917–2918.
  271. A. J. Birch, H. Fitton, M. McPartlin and R. Mason (1968). The structure and somereactions of the iron tricarbonyl complex of thebaine. J. Chem. Soc., Chem. Comm., 531.
  272. A. J. Birch and M. Haas (1968). Removal of OMe from tricarbonyl-1- or -2-methoxy -cyclo hexa-1, 3-dieneiron complexes: a novel preparation of tricarbonyl-π-cyclohexa -dienyliron salts. Tetrahedron Lett. 9, 3705–3706.
  273. A. J. Birch, P. E. Cross, J. Lewis, D. A. White and S. B. Wild (1968). The chemistry of coordinated ligands. Part II. Iron tricarbonyl complexes of some cyclohexadienes. J. Chem. Soc. A, 332–340.
  274. A. J. Birch and R. Keeton (1968). A synthesis of nezukone. J. Chem. Soc. C, 109.
  275. A. J. Birch (1968). Biosintesi: caratteristica fondamentale della materia vivente. In Enciclopedia della scienza e della tecnica. Milano: Mondadori.
  276. A. J. Birch (1968). Polyketide metabolism. Ann. Rev. Plant Physiol. 19, 321–332.
  277. A. J. Birch, B. McKague and C. S. Rao (1969). Reactions of cyclohexadienes. IX. Some reactions of nitrosobenzene adducts of1-methoxycyclohexa-1, 3-dienes. Aust. J. Chem. 22, 2493–2495.
  278. A. J. Birch and B. McKague (1969). Steroid hormones. XX. An A-substituted estrone derivative. Aust. J. Chem. 22, 2255–2256.
  279. A. J. Birch, C. J. Dahl and A. Pelter (1969). Synthetic evidence for the structure of xanthor rhone. Aust. J. Chem. 22, 423–426.
  280. C. W. Holzapfel, A. J. Birch and R. W. Rickards (1969). The oxidation of deoxy rosenonolactone by Trichotheciumroseum. Phytochem. 8, 1009–1012.
  281. A. J. Birch, F. Gager, L. Mo, A. Pelter and J. J. Wright (1969). Studies in relation to biosynthesis. XLI. Canescin. Aust. J. Chem. 22, 2429–2436.
  282. A. J. Birch and G. S. R. Subba Rao (1969). Metal-ammonia reduction of some acylphenols. Aust. J. Chem. 22, 761–764.
  283. A. J. Birch and G. S. R. Subba Rao (1969). The synthesis of p-mentha-1, 3, 8-triene. Aust. J. Chem. 22, 2037–2039.
  284. A. J. Birch and H. Fitton (1969). The preparation and some reactions of the irontri -carbonyl complex of thebaine. Aust. J. Chem. 22, 971–976.
  285. A. J. Birch and H. H. Mantsch (1969). Reductions of acridine by metal-ammonia solutions. Aust. J. Chem. 22, 1103–1104.
  286. A. J. Birch, J. H. Birkinshaw, P. Chaplen, L. Mo, A. H. Manchanda, A. Pelter and M. Riano-Martin (1969). The structures of canescin-A and -B. Aust. J. Chem. 22, 1933–1941.
  287. A. J. Birch and J. J. Wright (1969). A total synthesis of mycophenolic acid. J. Chem. Soc., Chem. Comm., 788–789.
  288. A. J. Birch and J. J. Wright (1969). A total synthesis of mycophenolic acid. Aust. J. Chem. 22, 2635–2644.
  289. A. J. Birch and J. J. Wright (1969). The brevianamides: a new class of fungal alkaloid. J. Chem. Soc., Chem. Comm., 644–645.
  290. A. J. Birch, J. J. Wright, F. Gager, L. Mo and A. Pelter (1969). The biosynthesis of canescin: a C1-unit in a chain. Tetrahedron Lett. 10, 1519–1520.
  291. A. J. Birch, M. Maung and A. Pelter (1969). Studies in relation to biosynthesis. XL. Some aspects of the chemistry of o-isopentenylphenols and related compounds. Aust. J. Chem. 22, 1923–1932.
  292. A. J. Birch, P. L. MacDonald and V. H. Powell (1969). A stereo selective synthesis of (±)-juvabione. Tetrahedron Lett. 10, 351–354.
  293. A. J. Birch and R. I. Fryer (1969). Studies in relation to biosynthesis. XXXIX. Oosporein. Aust. J. Chem. 22, 1319–1320.
  294. A. J. Birch, R. W. Rickards and K. J. S. Stapleford (1969). Reduction of1-arylpyrroles by metal–ammonia solutions. Aust. J. Chem. 22, 1321–1323.
  295. A. J. Birch and S. F. Hussain (1969). Studies in relation to biosynthesis. Part XXXVIII. A preliminary study of fumagillin. J. Chem. Soc. C, 1473–1474.
  296. A. J. Birch and B. McKague (1970). A stereo specific synthesis of trisubstituteddouble bonds. Aust. J. Chem. 23, 813–817.
  297. A. J. Birch and B. McKague (1970). Steroid hormones. XXI. Some testosterone derivatives substituted at C-19. Aust. J. Chem. 23, 341–346.
  298. A. J. Birch, E. G. Hutchinson and G. S. R. Subba Rao (1970). Preparation of some dimethylaminocyclohexa-1, 3-dienesand their reactions with αβ-unsaturated ketones. J. Chem. Soc., Chem. Comm., 657.
  299. A. J. Birch and G. S. R. Subba Rao (1970). Reduction by dissolving metals. XV. Reactions of some cyclohexadienes with metal-ammonia solutions. Aust. J. Chem. 23, 1641–1649.
  300. A. J. Birch and G. S. R. Subba Rao (1970). Steroid hormones. XXII. Total syntheses of (±)-equilenin methyl ether and (±)-estronemethyl ether. Aust. J. Chem. 23, 547–552.
  301. A. J. Birch, J. Diekman and P. L. MacDonald (1970). Syntheses of some 2-substitutedcyclohexenones by Michael-type reactions on tetrahydropyran-2’-yloxycyclohexenes. J. Chem. Soc., Chem. Comm., 52–53.
  302. A. J. Birch, J. E. T. Corrie and G. S. R. SubbaRao (1970). A nonstereospecific synthesis of (±)-davanone. Aust. J. Chem. 23, 1811–1817.
  303. A. J. Birch and J. J. Wright (1970). Studies in relation to biosynthesis. XLII. Structural elucidation and some aspects of the biosynthesis of the brevianamides-A and -E. Tetrahedron26, 2329–2344.
  304. A. J. Birch, K. B. Chamberlain, B. P. Moore and V. H. Powell (1970). Termite attractants in Santalum spicatum. Aust. J. Chem. 23, 2337–2341.
  305. M. Allen, A. J. Birch and A. R. Jones (1970). Studies in relation to biosynthesis. XLIII. The incorporation of L-lysine into myco -bactin-P. Aust. J. Chem. 23, 427–429.
  306. A. J. Birch, P. L. MacDonald and V. H. Powell (1970). Reactions of cyclohexadienes. Part VIII. Stereoselective and nonstereoselective syntheses of (±)-juvabione. J. Chem. Soc. C, 1469–1476.
  307. A. J. Birch and V. H. Powell (1970). Synthesis of some polycyclic quinones through 1-methoxycyclohexa-1, 3-dienes. Tetrahedron Lett. 11, 3467–3470.
  308. A. J. Birch, E. G. Hutchinson and G. S. R. Subba Rao (1971). Reduction bydissolving metals. Part XVI. Reactions of some aromatic amines with metal-ammonia solutions. J. Chem. Soc. C, 637–642.
  309. A. J. Birch, E. G. Hutchinson and G. Subba Rao (1971). Reduction by dissolving metals. Part XVII. Metal–ammonia reductions of some conjugated dienamines. J. Chem. Soc. C, 2409–2411.
  310. A. J. Birch and E. G. Hutchinson (1971). Reactions of cyclohexadienes. Part XII. Some dienamines and dimethyl acetylene -dicarboxylate. J. Chem. Soc. C, 3671–3673.
  311. A. J. Birch and K. A. M. Walker (1971). Organometallic complexes in synthesis. II. Further applications of tristriphenyl -phosphinechlororhodium. Aust. J. Chem. 24, 513–520.
  312. A. J. Birch, K. B. Chamberlain and S. S. Oloyede (1971). Reaction of sodium dimethyl sulfoxide with 2-bromoanisole. Aust. J. Chem. 24, 2179–2180.
  313. A. J. Birch and M. A. Haas (1971). Organometallic complexes in synthesis. Part III. The reaction of concentrated sulfuric acid with tricarbonylcyclohexa-1, 3-dieneiron com -plexes: a preparation of certain alkyltricarbonyl-π-cyclohexadienyliron salts. J. Chem. Soc. C, 2465–2467.
  314. A. J. Birch and R. Keeton (1971). Reactions of cyclohexadienes. X. Some dichloro -carbene adducts of alkoxycyclohexa-1, 4-dienes and their conversion into hydroxycyclopropanes and cycloheptenones. Aust. J. Chem. 24, 331–341.
  315. A. J. Birch and R. A. Russell (1971). Reactions of cyclohexadienes. XI. A synthesis of nidulol methyl ether (5, 7-dimethoxy-6-methylphthalide) and 4, 6-dimethoxy-5-methylphthalide. Aust. J. Chem. 24, 1975–1978.
  316. A. J. Birch (1971). Terpenoid compounds of mixed biogenetic origins. J. Agric. Food Chem. 19, 1088–1092.
  317. A. J. Birch, A. H. Jackson, P. V. R. Shannon and P. S. P. Varma (1972). An improved routeto isoquinolines; synthesis of the alkaloids escholamine and takatonine. Tetrahedron Lett. 13, 4789–4792.
  318. A. J. Birch and D. J. Thompson (1972). Studies in relation to biosynthesis. XLV. Probable origin of a B-norflavone. Aust. J. Chem. 25, 2731–2733.
  319. A. J. Birch and E. G. Hutchinson (1972). Reduction by dissolving metals. Part XVIII. Metal-ammonia reductions of somebicyclo [2. 2. 2]octene derivatives: structural effects on double bond reduction and nitrile cleavage. J. Chem. Soc., Perkin Trans. 1, 1546–1548.
  320. A. J. Birch and G. Subba Rao (1972). Reductions by metal-ammonia solutions and related reagents. In Advances in Organic Chemistry. Methods and Results (ed. E. C. Taylor), vol. 8, pp. 1–65. New York: Wiley–Interscience.
  321. A. J. Birch, J. E. T. Corrie, P. L. Macdonald and G. Subba Rao (1972). Total synthesis of (±)-ethyl acorate { (±)-ethyl (3RS)-3-[ (1SR, 4SR)-1-isobutyryl-4-methyl-3-oxo -cyclo hexyl]butyrate} and (±)-epiacoric acid. An application of the generation and alkylation of a specific enolate. J. Chem. Soc., Perkin Trans. 1, 1186–1193.
  322. A. J. Birch and K. P. Dastur (1972). A catalytic conversion of 1-methoxycyclo -hexa-1, 4-dienes into 1-methoxycyclo hexa-1, 3-dienes. Tetrahedron Lett. 13, 4195–4196.
  323. A. J. Birch and R. A. Russell (1972). Studies in relation to biosynthesis. XLIV. Structural elucidations of brevianamides-B, -C, -D, and -F. Tetrahedron 28, 2999–3008.
  324. A. J. Birch, W. V. Brown, J. E. T. Corrie and B. P. Moore (1972). Neocembrene-A, a termite trail pheromone. J. Chem. Soc., Perkin Trans. 1, 2653–2658.
  325. A. J. Birch (1972). Biogenetic aspects of the structure determination of natural products. Some Recent Dev. Chem. Nat. Prod. (ed S. Rangaswami and N. V. Subba Rao), pp. 6–17. New Delhi: Prentice-Hall.
  326. A. J. Birch (1972). Partial synthesis of some novobiocin analogues. Adv. Antimicrob. Antineoplastic  Chemother., Proc. Int. Congr. Chemother., 7th, 1971, 1, 1023–1024.
  327. A. J. Birch (1972). The organic chemist in biosynthesis. Matthew Flinders Lecture, Austral. Acad. Sci., Records A. A. S. 2 No 3.
  328. A. J. Birch and D. H. Williamson (1973). Organometallic complexes in synthesis. PartV. Some tricarbonyliron derivatives of cyclohexadiene carboxylicacids. J. Chem. Soc., Perkin Trans. 1, 1892–1900.
  329. A. J. Birch and E. G. Hutchinson (1973). Reactions of cyclohexadienes. Part XIV. Addition reactions of dienamines and electrophilic olefins. J. Chem. Soc., Perkin Trans. 1, 1757–1760.
  330. A. J. Birch, K. B. Chamberlain andD. J. Thompson (1973). Organometallic complexes in synthesis. Part VI. Some oxidative cyclizations of tricarbonylcyclohexadieneiron complexes. J. Chem. Soc., Perkin Trans. 1, 1900–1903.
  331. A. J. Birch and K. B. Chamberlain (1973). Tricarbonyl (1-ethoxycarbonylmethyl-1-hydroxy-2, 4-cyclohexadiene)iron. Org. Syn. 53, 177.
  332. A. J. Birch and K. B. Chamberlain (1973). Tricarbonyl (2, 4-cyclohexadienone)iron and tricarbonyl (2-methoxy-1, 3-cyclohexa -dienylium)iron fluorophosphate from ani -sole. Org. Syn. 53, 176.
  333. A. J. Birch and K. B. Chamberlain (1973). Tricarbonyl (2, 4-cyclohexadienone) iron from benzene. Org. Syn. 53, 177.
  334. A. J. Birch and K. B. Chamberlain (1973). Tricarbonyl[5- (2-hydroxy-4, 4-dimethyl-6-oxo-1-cyclohexen-1-yl)-2-methoxy-1, 3-cyclohexadiene]iron. Org. Syn. 53, 178.
  335. A. J. Birch, K. B. Chamberlain, M. A. Haas and D. J. Thompson (1973). Organometallic complexes in synthesis. Part IV. Abstraction of hydride from some tricarbonylcyclohexa-1, 3-dieneiron complexes and reactions of the complexed cations with some nucleophiles. J. Chem. Soc., Perkin Trans. 1, 1882–1891.
  336. A. J. Birch and K. P. Dastur (1973). Reactions of cyclohexadienes. Part XIII. Catalytic conversion of 1-methoxy-1, 4-cyclohexadienes into 1-methoxy-1, 3-cyclohexadienes. J. Chem. Soc., Perkin Trans. 1, 1650–1652.
  337. A. J. Birch and K. P. Dastur (1973). Reduction by dissolving metals. XIX. A synthesis of 4-isopropylcyclohexa-1, 4-dienecarbaldehyde. Aust. J. Chem. 26, 1363–1364.
  338. A. J. Birch, K. S. Keogh and V. R. Mamdapur (1973). Conversion of 2, 5-disubstitutedfurans into (Z)-jasmone. Aust. J. Chem. 26, 2671–2674.
  339. A. J. Birch and P. C. Lehman (1973). Metalammonia reduction of aromatic nitrogen heterocycles. Part I. Reductive alkylation of quinoline and some methyl derivatives. J. Chem. Soc., Perkin Trans. 1, 2754–2759.
  340. A. J. Birch (1973). Biosynthetic pathways in chemical phylogeny. Pure and Applied Chemistry 33, 17–38.
  341. A. J. Birch (1973). Construction of bio -synthetic hypotheses. Journal of the National Science Council of Sri Lanka 1, 19–29.
  342. A. J. Birch and C. J. Dahl (1974). Some constituents of the resins of Xanthorrhoea preissii, australis and hastile. Aust. J. Chem. 27, 331–344.
  343. A. J. Birch and G. Nadamuni (1974). Reduction by dissolving metals. Part XX. Some biphenyl derivatives. J. Chem. Soc., Perkin Trans. 1, 545–552.
  344. J. Baldas, A. J. Birch and R. A. Russell (1974). Studies in relation to biosynthesis. Part XLVI. Incorporation of cyclo-L-tryptophyl-L-proline into brevianamide A. J. Chem. Soc., Perkin Trans. 1, 50–52.
  345. A. J. Birch and K. P. Dastur (1974). A synthesis of 4, 6-dien-3-ones in thebicyclo[4. 4. 0]decane series. Tetrahedron Lett. 15, 1009–1010.
  346. A. J. Birch and P. G. Lehman (1974). Metalammonia reduction of aromatic nitrogen heterocycles. II. 1, 4-Dihydroquinoline. Tetrahedron Lett. 15, 2395–2396.
  347. A. J. Birch (1974). Biosynthetic pathways in chemical phylogeny. Nobel Symposium 25, 261–270.
  348. A. J. Birch (1974). Chance and design. Historical perspective of the chemistry oforal contraceptives. J. Proc. Roy. Soc. New South Wales 107, 100–113.
  349. A. J. Birch (1974). Dihydrobenzenes in synthesis in terpene related areas. J. Agric. Food Chem. 22, 162–167.
  350. A. J. Birch and A. J. Pearson (1975). Organometallics in organic synthesis: alkylations of tricarbonylcyclohexadienyliron cationic complexes with organo-zinc and -cadmium reagents. Tetrahedron Lett. 16, 2379–2380.
  351. A. J. Birch and E. A. Karakhanov (1975). Preparation of some N-substituted 1, 4-di -hydropyridines by metal-ammonia reactions. J. Chem. Soc., Chem. Comm., 480–481.
  352. G. S. R. Subba Rao, N. S. Sundar, K. S. Rao and A. J. Birch (1975). Total syntheses of (±)-18-homo-B-norestrone and (±)-18-homo-8-iso-B-norestrone. Ind. J. Chem. 13, 644–647.
  353. A. J. Birch, I. D. Jenkins and A. J. Liepa (1975). Organometallic complexes in synthesis. Nucleophilic reactions on tri -carbonyl cyclohexadienyliron cations. Some cyclohexadienyl phosphinic, phosphonic, and sulfonic acid derivatives. Tetrahedron Lett. 16, 1723–1726.
  354. A. J. Birch and I. D. Jenkins (1975). Tricarbonylcyclohexadienoneiron: a new phenylating agent for amines. Tetrahedron Lett. 16, 119–122.
  355. A. J. Birch and J. Slobbe (1975). Metalammonia reduction and reductive alkylation of 2-furoic acid. Tetrahedron Lett. 16, 627–628.
  356. A. J. Birch and M. Kaye (1975). The other arts: science, invention, technology. Australia75 Festival of the Creative Arts and Sciences.
  357. A. J. Birch, T. J. Simpson and P. W. Westerman (1975). Biosynthesis of ravenelin from [1-13C]- and [1, 2-13C]-acetate. Tetrahedron Lett. 16, 4173–4177.
  358. A. J. Birch (1975). Origin of the Birch reduction. J. Chem. Ed. 52, 458.
  359. A. J. Birch and A. J. Pearson (1976). Friedel–Crafts chemistry of tricarbonyldieneiron complexes: carbonylative annulations of tricarbonylmyrceneiron. J. Chem. Soc., Chem. Comm., 601–602.
  360. A. J. Birch and A. J. Pearson (1976). Organometallics in synthesis: alkylation of tricarbonyldienyliron cationic complexes with organocadmium reagents. J. Chem. Soc., Perkin Trans. 1, 954–957.
  361. A. J. Birch and D. H. Williamson (1976). Homogeneous hydrogenation catalysts inorganic synthesis. Organic Reactions 24, 1–186.
  362. A. J. Birch and I. D. Jenkins (1976). Transition metal complexes of olefinic compounds. In Transition Metal Organometallics in Organic Synthesis (ed. H. Alper), vol. 1, pp. 1–82. New York: Academic.
  363. A. J. Birch, J. Baldas, J. R. Hlubucek, T. J. Simpson and P. W. Westerman (1976). Biosynthesis of the fungal xanthone ravenelin. J. Chem. Soc., Perkin Trans. 1, 898–904.
  364. A. J. Birch and J. Slobbe (1976). Metal–ammonia reduction and reductive alkylation of conjugated dienoic acids. Aust. J. Chem. 29, 2737–2739.
  365. A. J. Birch and J. Slobbe (1976). Oxidativede carboxylation of dihydroaromatic acids with lead tetraacetate: a synthesis of olivetoldimethyl ether and of rosefuran. Tetrahedron Lett. 17, 2079–2082.
  366. A. J. Birch and J. Slobbe (1976). Reduction of heterocyclic compounds by metalammonia solutions and related reagents. Heterocycles 5, 905–944.
  367. A. J. Birch, P. W. Westerman and A. J. Pearson (1976). Organometallic compounds in synthesis. VIII. Carbon-13 nuclear magnetic resonance spectroscopic study of tricarbonylcyclohexadienyliron salts. Aust. J. Chem. 29, 1671–1677.
  368. A. J. Birch, R. Effenberger, R. W. Rickards and T. J. Simpson (1976). The structure of phomazarin, a polyketide azaanthraquinone from Pyrenochaeta terrestris Hansen. Tetrahedron Lett. 17, 2371–2374.
  369. A. J. Birch and W. M. P. Johnson (1976). Reduction by dissolving metals. XXI. Some deuteroanisoles. Aust. J. Chem. 29, 1631–1633.
  370. A. J. Birch (1976). Chance and design in biosynthesis. Interdiscip. Sci. Rev. 1, 215–233.
  371. A. J. Birch (1976). Neglected hypothetical approaches. Trends in Biochem. Sci. 1, N206–N207.
  372. A. J. Birch (1976). Science centres, a challenge to the traditional museum. A proposal for a science centre. Science Museums and the Future. Aust. Nat. Commiss. UNESCO.
  373. A. J. Birch (1976). Sir Robert Robinson: a contemporary historical assessment and apersonal memoir. J. Proc. Roy. Soc. New South Wales 109, pt. 3–4, 151–160.
  374. A. J. Birch, C. T. Looker and R. T. Madigan (1977). Report of the Independent Inquiry into the Commonwealth Scientific and Industrial Research Organisation. Canberra: Australian Government Publishing Service.
  375. A. J. Birch and J. Slobbe (1977). Reduction by dissolving metals. XXII. Reduction and reductive alkylation of some methoxy- and dimethylamino-benzoic acids. Aust. J. Chem. 30, 1045–1049.
  376. A. J. Birch and K. B. Chamberlain (1977). Alkylation of dimedone with a tricarbonyl - (diene) iron complex: tricarbonyl[2-[ (2, 3, 4, 5-η)-4-methoxy-2, 4-cyclohexadien-1-yl]-5, 5-dimethyl-1, 3-cyclohexanedione]iron. Org. Syn. 57, 16–17.
  377. A. J. Birch and K. B. Chamberlain (1977). Tricarbonyl [ (2, 3, 4, 5-η)-2, 4-cyclohexadien-1-one]iron and tricarbonyl [ (1, 2, 3, 4, 5-η)-2-methoxy-2, 4-cyclohexadien-1-yl]iron (1+) hexafluorophosphate (1-) from anisole. Org. Syn. 57, 107–112.
  378. A. J. Birch and A. J. Liepa (1978). Biosynthesis of lignans. The Chemistry of Lignans. (ed. C. B. S. Rao), pp. 307–327. Waltair: Andhra University Press.
  379. A. J. Birch and A. J. Pearson (1978). Organometallic complexes in synthesis. Part 9. Tricarbonyliron derivatives of dihydroanisic esters. J. Chem. Soc., Perkin Trans. 1, 638–642.
  380. A. J. Birch and J. Slobbe (1978). The anodic aromatization of 2, 5-dihydroanisole derivatives. Aust. J. Chem. 31, 2555–2558.
  381. A. J. Birch and S. F. Dyke (1978). Reduction by dissolving metals. XXIII. Conversion of aromatic amines into cyclohexadienamines. Aust. J. Chem. 31, 1625–1628.
  382. A. J. Birch (1978). Biosynthesis in theory and practice: structure determinations. Ciba Foundation Symposium 53, Further Perspectives in Organic Chemistry, 5–24.
  383. A. J. Birch (1978). Chance and design in biosynthesis. Pure and Applied Chemistry 50, 1005–1014.
  384. A. J. Birch (1978). Chemical contraception: accident or design? Papers, Australian and New Zealand Association for the Advancement of Science Congress, 48th, Sydney, 1977, 2/145.
  385. A. J. Birch (1978). Historical aspects, structures of natural products. UNESCO Regional Workshop Structure Elucidation of Natural Products, Univ. Malaya, 1–22.
  386. A. J. Birch, A. J. Liepa and G. R. Stephenson (1979). Organometallic compounds inorganic synthesis. Some tricarbonyl (cyclohexadienyl) iron cations and nitrogen containing nucleophiles. Tetrahedron Lett. 20, 3565–3568.
  387. A. J. Birch, D. N. Butler, R. Effenberger, R. W. Rickards and T. J. Simpson (1979). Studies in relation to biosynthesis. Part 47. Phomazarin. Part 1. The structure of phomazarin, an aza-anthraquinone produced by Pyrenochaeta terrestris Hansen. J. Chem. Soc., Perkin Trans. 1, 807–815.
  388. G. M. Badger and A. J. Birch (1979). Marine sciences and technologies in Australia: Immediate issues 1979, pp. 1–16; Priorities for additional research and development1980–81, 1980, pp. 1–35; Towards a marine sciences and technologies program for the1980s, 1981, pp. 1–95; Marine sciences and technologies research grants scheme1980/1981, 1982, pp. 1–20. Reports to the Prime Minister by the Australian Science and Technology Council (ASTEC). Canberra: Australian Government Publishing Service.
  389. L. F. Kelly, A. S. Narula and A. J. Birch (1979). Organometallic compounds inorganic synthesis: reactions of some tri -carbonylcyclohexadienylium-iron complexes with trimethylsilyl enol ethers. Tetrahedron Lett. 20, 4107–4110.
  390. A. J. Birch and T. J. Simpson (1979). Studies in relation to biosynthesis. Part 48. Phomazarin. Part 2. Carbon-13 NMR spectra and biosynthesis of phomazarin. J. Chem. Soc., Perkin Trans. 1, 816–822.
  391. A. J. Birch (1979). Workshop overview. Science and technology for what purpose? An Australian perspective (ed. A. T. A. Healy), pp. 7–20. Canberra: Australian Academy of Science.
  392. A. J. Birch (1979). Science policy and science education. Chem. Aust. 46, 3–6.
  393. A. J. Birch, A. L. Hinde and L. Radom (1980). A theoretical approach to the Birch reduction. Structures and stabilities of the radical anions of substituted benzenes. J. Am. Chem. Soc. 102, 3370–3376.
  394. A. J. Birch, A. L. Hinde and L. Radom (1980). A theoretical approach to the Birch reduction. Structures and stabilities of cyclohexadienyl radicals. J. Am. Chem. Soc. 102, 4074–4080.
  395. A. J. Birch, A. L. Hinde and L. Radom (1980). A theoretical approach to the Birch reduction. Structures and stabilities of cyclohexadienylanions. J. Am. Chem. Soc. 102, 6430–6437.
  396. A. J. Birch, A. S. Narula, P. Dahler, G. R. Stephenson and L. F. Kelly (1980). Organometallic compounds in organic synthesis: reactions of some tricarbonyl -cyclohexadienyliumiron complexes with1, 2-bis (trimethylsiloxy)-1-cyclopentene. Anovel route to 2-substituted 2-cyclopenten-1-ones. Tetrahedron Lett. 21, 979–982.
  397. B. M. R. Bandara, A. J. Birch and T. -C. Khor (1980). Alkylation of tricarbonylcyclohexadienyliron salts with lithium alkyls. Tetrahedron Lett. 21, 3625–3626.
  398. A. J. Birch and B. M. R. Bandara (1980). An alternative formation of tricarbonylcyclohexadienyliumiron salts by acid-catalyzed decarbonylation. Tetrahedron Lett. 21, 3499–3502.
  399. A. J. Birch and B. M. R. Bandara (1980). Optical resolution of tricarbonyl (1-carboxycyclohexa-1, 3-diene)iron and the absolute configuration of the products. Tetrahedron Lett. 21, 2981–2982.
  400. L. F. Kelly, A. S. Narula and A. J. Birch (1980). Organometallic compounds inorganic synthesis. An equivalent of aromatic nucleophilic substitution by reactions of tricarbonylcyclohexadienyliumiron salts with O-silylated enolates: a novel arylation in the2-position of carbonyl compounds. Tetrahedron Lett. 21, 2455–2458.
  401. L. F. Kelly, A. S. Narula and A. J. Birch (1980). Organometallic compounds inorganic synthesis: electrophilic reactions of some tricarbonylcyclohexadienylium-iron complexes with allyltrimethylsilanes. Tetrahedron Lett. 21, 871–874.
  402. A. J. Birch, P. Dahler, A. S. Narula and G. R. Stephenson (1980). Tricarbonyl -cyclohexadienyliron complexes: synthetic equivalents of aryl cations. A facile synthesis of 2-arylcyclopentenones and its application towards prostaglandin analogues. Tetrahedron Lett. 21, 3817–3820.
  403. A. J. Birch, W. D. Raverty and G. R. Stephenson (1980). Absolute configuration of some tricarbonyl (cyclo hexa -diene) iron complexes. J. Chem. Soc., Chem. Comm., 857–859.
  404. A. J. Birch, W. D. Raverty and G. R. Stephenson (1980). Asymmetric synthesis of optically active tricarbonyliron complexes of 1, 3-dienes. Tetrahedron Lett. 21, 197–200.
  405. A. J. Birch (1980). Stereospecific and regiospecific formations and reactivities of some substituted tricarbonylcyclohexadieneiron complexes. Ann. New York Acad. Sci. 333, 107–123.
  406. A. J. Birch, A. L. Hinde and L. Radom (1981). A theoretical approach to the Birch reduction. Structures and stabilities of cyclohexadienes. J. Am. Chem. Soc. 103, 284–289.
  407. A. S. Narula and A. J. Birch (1981). Bisannulation reaction: a single step synthesisof endo-2-ethoxycarbonyl-exo-2-cyano-3, 3-dimethylbicyclo[2, 2, 2]octan-5-one andendo-2-ethoxycarbonyl-exo-2-cyano-1, 3, 3-trimethylbicyclo[2, 2, 2]octan-5-one. Tetrahedron Lett. 22, 591–594.
  408. B. M. R. Bandara, A. J. Birch, B. Chauncy and L. F. Kelly (1981). Tricarbonyliron complexes of some blocked cyclohexadienes. J. Organomet. Chem. 208, C31–C35.
  409. A. J. Birch, B. M. R. Bandara, K. Chamberlain, B. Chauncy, P. Dahler, A. I. Day, I. D. Jenkins, L. F. Kelly, T. -C. Khor, G. Kretschmer, A. J. Liepa, A. S. Narula, W. D. Raverty, E. Rizzardo, C. Sell, G. R. Stephenson, D. J. Thompsonand D. H. Williamson (1981). Organo -metallic compounds in organic synthesis –XI. The strategy of lateral control of reactivity: tricarbonylcyclohexadieneiron complexes and their organic synthetic equivalents. Tetrahedron 37, Suppl. 1, 289–302.
  410. A. J. Birch, D. Bogsanyi and L. F. Kelly (1981). Rates of reaction of pentane-2, 4-dione with some substituted tricarbonyl -cyclohexadienyl iron cations. J. Organomet. Chem. 214, C39–C42.
  411. A. J. Birch and G. R. Stephenson (1981). Optically active tricarbonyl (cyclohexa -dienyl)iron (1+) salts: synthetic equivalents to spatially directed organic cations. Tetrahedron Lett. 22, 779–782.
  412. A. J. Birch and G. R. Stephenson (1981). Regioselectivity of nucleophilic additions totricarbonyl [η5-2-methyl-2, 4-cyclohexadien-1-yl]iron (1+) PF6-: temperature dependenceof hydride reductions. J. Organomet. Chem. 218, 91–104.
  413. A. J. Birch, L. F. Kelly and D. J. Thompson (1981). Organometallic compounds inorganic synthesis. Part 10. Preparations and some reactions of tricarbonyl-1, 3- and -1, 4-dimethoxycyclohexa-1, 3-dieneiron and related compounds: the preparation of the tricarbonyl-3-methoxycyclohexadienyliumironcation. J. Chem. Soc., Perkin Trans. 1, 1006–1012.
  414. L. F. Kelly, P. Dahler, A. S. Narula and A. J. Birch (1981). Organometallics in organic synthesis: tricarbonyl (3-methoxy cyclohexa-2, 4-dien-1-yl)iron (1+). A synthetic equivalent of the C-5 cation of cyclohexenone. Tetrahedron Lett. 22, 1433–1436.
  415. A. J. Birch, W. D. Raverty and G. R. Stephenson (1981). Organometallic complexes in organic synthesis. 15. Absolute configurations of some simply substituted tricarbonyliron complexes. J. Org. Chem. 46, 5166–5172.
  416. A. J. Birch (1981). Creative and accountable research. Leighton Lecture, 1981. Chem. Aust. 48, 173–178.
  417. A. J. Birch (1981). Review of “The Basel Marriage. History of the Ciba-Geigy Merger” by P. Erni. Interdiscip. Sci. Rev. 5, 168.
  418. A. J. Birch, A. J. Liepa and G. R. Stephenson (1982). Organometallic complexes in synthesis. Part 16. Reactions of tricarbonyl (cyclo -hexadienyl) iron (1+) salts with aromatic amines. J. Chem. Soc., Perkin Trans. 1, 713–717.
  419. B. M. R. Bandara, A. J. Birch and W. D. Raverty (1982). Organometallic compounds in organic synthesis. Part 12. Methods of determination of the stereochemistry of tricarbonylcyclohexa-1, 3-dieneironcomplexes. J. Chem. Soc., Perkin Trans. 1, 1745–1753.
  420. B. M. R. Bandara, A. J. Birch and W. D. Raverty (1982). Organometallic compounds in organic synthesis. Part 13. Stereoselectivity of complexation of cyclohexadiene esters. J. Chem. Soc., Perkin Trans. 1, 1755–1762.
  421. B. M. R. Bandara, A. J. Birch and W. D Raverty (1982). Organometallic compounds in organic synthesis. Part 14. Tricarbonyliron as lateral control group in the selective alkaline hydrolysis of somecyclohexa-1, 3-diene carboxylic esters. J. Chem. Soc., Perkin Trans. 1, 1763–1769.
  422. C. C. Kanakam, H. Ramanathan, G. S. R. Subba Rao and A. J. Birch (1982). Strategies of synthesis of aromatic poly -ketides using cyclohexa-1, 4- and 1, 3-dienesin Alder–Rickert reactions. Current Science51, 400–402.
  423. A. J. Birch, L. F. Kelly and A. S. Narula (1982). Organometallic compounds inorganic synthesis – part 17. Reactions of tricarbonylcyclohexadienyliron salts with O-silylated enolates, allylsilanes and aspects of their synthetic equivalents. Tetrahedron38, 1813–1823.
  424. A. J. Birch (1982). Inorganic “enzymes”? Transition metal atoms as assembly and control centers in organic synthesis. Current Science 51, 155–157.
  425. B. M. R. Bandara, A. J. Birch, L. F. Kelly and T. -C. Khor (1983). The first full resolution of2-methoxytricarbonylcyclohexadienylironhexafluorophosphate, an example of asynthetic organic equivalent in the series of chiral cyclohex-2-enone-4 cations. Tetrahedron Lett. 24, 2491–2494.
  426. A. J. Birch (1983). Overview. Science research in Australia, who benefits? Papers from the ANU public affairs conference 1983 (ed. A. J. Birch), pp. 1–7. Canberra: Centre for Continuing Education, Australian National University.
  427. B. M. R. Bandara, A. J. Birch and L. F. Kelly (1984). Superimposed lateral control of structure and reactivity exemplified by enantio specific synthesis of (+)- and (–)-gabaculine. J. Org. Chem. 49, 2496–2498.
  428. B. M. R. Bandara and A. J. Birch (1984). The steric course of proton elimination in conversion of a tricarbonylcyclohexadieneiron carbinol into an endocyclic cation. J. Organomet. Chem. 265, C6–C8.
  429. L. F. Kelly and A. J. Birch (1984). Replacement of SO2Ar in tricarbonyl-5α- (arylsulfonyl) cyclohexa-1, 3-dieneiron complexes: regio- and stereocontrol in reactions of dienyliron cations with some nucleo -philes. Tetrahedron Lett. 25, 6065–6068.
  430. A. J. Birch, W. D. Raverty and G. R. Stephenson (1984). Chirality transfer in the coordination sphere of iron. Organometallics 3, 1075–1079.
  431. A. J. Birch, W. D. Raverty, S. Y. Hsu and A. J. Pearson (1984). Acetylation of dicarbonyl (η4-cyclohexadiene) triphenyl -phosphineiron. J. Organomet. Chem. C59–C62.
  432. A. J. Birch (1984). Aspects sociaux et scientifiques de la recherche sur les substances naturelles. Impact: Science et Société (UNESCO), 345.
  433. A. J. Birch (1984). Inorganic “enzymes”: a new approach to organic synthesis. Prog. Bioorg. Chem. Mol. Biol., Proc. Int. Symp. Front. Bioorg. Chem. Mol. Biol., 471–477.
  434. A. J. Birch, B. Chauncy, L. F. Kelly and D. J. Thompson (1985). Organometallic compounds in organic synthesis. XVIII. Removal of OMe from some substituted tricarbonyl cyclohexadieneirons to form substituted tricarbonylcyclohexadienyliron salts. J. Organomet. Chem. 286, 37–46.
  435. A. J. Birch, L. F. Kelly and A. J. Liepa (1985). Lateral control of skeletal rearrangement by complexation of thebaine with iron tri -carbonyl (Fe (CO)3). Tetrahedron Lett. 26, 501–504.
  436. A. J. Birch and L. F. Kelly (1985). Model reactions for sterically controlled syntheses of cyclohex-2-enones with 4, 4- or 5, 5-quaternarycenters: a direct chiral synthesis of4-allyl-4-cyanocyclohex-2-enone from the anion of (+)-tricarbonyl (5-cyano-2-methoxycyclohexa-1, 3-diene)iron. J. Org. Chem. 50, 712–714.
  437. A. J. Birch and L. F. Kelly (1985). Replacement of CO by R3P in thecyclohexa-1, 3-dienetricarbonyliron series. J. Organomet. Chem. 286, C5–C7.
  438. A. J. Birch and L. F. Kelly (1985). Tricarbonyliron methoxycyclohexadiene and dienyl complexes: preparation, properties and applications. J. Organomet. Chem. 285, 267–280.
  439. A. J. Birch (1987). Australian bicentenary: chemistry in Australia. Interdiscip. Sci. Rev. 12, 298–301.
  440. A. J. Abbott, A. Aylward, A. J. Birch and I. Johansen (1988). Science and technology policy in Denmark. OECD Examiners Report. Paris: OECD.
  441. A. J. Birch, L. F. Kelly and D. V. Weerasuria (1988). A facile synthesis of (+)- and (–)-shikimic acid with asymmmetric deuterium labeling, using tricarbonyliron as a lateral control group. J. Org. Chem. 53, 278–281.
  442. A. J. Birch and L. Rydstrand, eds (1988). The nature and role of innovation in the economy: report of the 1988 review of science, technology and engineering in Australia. Barton: Institution of Engineers, Australia, for National Science and Technology Analysis Group.
  443. A. J. Birch, M. J. Birch and J. E. Clarke (1988). Science and technology. In Australia and the World. The Australian Encyclo -paedia, 5th edn. Terrey Hills: Australian Geographic Society.
  444. A. J. Birch (1988). Chemistry in Australia: 200 years on. Chem. Brit. 24, 359, 361–362.
  445. A. J. Birch (1989). A vision of chemical total syntheses. Australian Chemistry Resource Book (Royal Australian Chemical Institute)8, 1.
  446. A. J. Birch, N. S. Mani and G. S. R. Subba Rao (1990). Strategies of synthesis based oncyclohexadienes: part 3. A novel route tomacrolide aromatic polyketides. J. Chem. Soc., Perkin Trans. 1, 1423–1427.
  447. A. J. Birch (1990). Deceit in science: does it really matter? Interdiscip. Sci. Rev. 15, 334–343.
  448. A. J. Birch (1990). Nature is a good scientist. Australian Chemistry Resource Book (Royal Australian Chemical Institute) 9, 1–12.
  449. A. J. Birch (1990). NSTAG 1989: bridging the economy. Search 21, 19–20.
  450. A. J. Birch (1991). Conversations on chemistry (a manifesto for the 21st century). Australian Chemistry Resource Book (Royal Australian Chemical Institute) 10, 34–45.
  451. A. J. Birch (1991). Diene complexes bynucleophilic attack on metal cationic complexes. Cationic dienyl complexes from metal diene complexes. In Inorganic Reactions and Methods (ed. A. P. Hagen). vol. 12A Formation of bonds to C, Si, Ge, Sn, Pb (Part 4), pp. 143–148. New York: VCH Publishers.
  452. A. J. Birch (1991). The idea of chemical atoms. Chem. Aust. 58, 228–230.
  453. A. J. Birch (1992). In John Warcup Cornforth. Selected research papers with commentaries (ed. B. T. Golding), pp. 15, 143, 272. Oxford: Pergamon.
  454. A. J. Birch (1992). Review of “Where the Truth Lies. Franz Moewus and the Origins of Molecular Biology” by J. Sapp. Interdiscip. Sci. Rev. 17, 95–96.
  455. A. J. Birch (1992). Steroid hormones and the Luftwaffe. A venture into fundamental strategic research and some of its consequences: the Birch reduction becomes a birth reduction. Steroids 57, 363–377.
  456. B. M. R. Bandara, A. J. Birch and B. Chauncy (1993). Stereoselectivity in the formation of tricarbonyliron complexes of some dihydrobiphenyls. J. Organomet. Chem. 444, 137–141.
  457. A. J. Birch (1993). Investigating a scientific legend: the tropinone synthesis of Sir Robert Robinson. Notes Rec. Roy. Soc. 47, 277–296.
  458. A. J. Birch (1994). Chemistry. In The Cambridge Encyclopedia of Australia (ed. S. Bambrick), p. 277. Cambridge: Cam -bridge University Press.
  459. A. J. Birch (1994). Francis in the lions’ den. Chem. Aust. 61, 252–253.
  460. A. J. Birch (1995). To See the Obvious. Profiles, pathways, and dreams. Autobiographies of eminent chemists (ed. J. I. Seeman). pp. xxviii and 269. Washing -ton: American Chemical Society.
  461. A. J. Birch (1996). The Birch reduction inorganic synthesis. Pure and Applied Chemistry 68, 553–556.